欢迎来到CEOB2B晶振平台

咨询热线:

0755-27839045

日产进口晶振 :
KDS晶振KDScrystal
爱普生晶振EPSONcrystal
NDK晶振NDKcrystal
京瓷晶振KyoceraCrystal
精工晶振SEIKOcrystal
西铁城晶振CITIZENcrystal
村田晶振MurataCrystal
大河晶振RiverCrystal
富士晶振FujicomCrystal
SMI晶振SMICrystal
NAKA晶振NAKACrystal
NJR晶振NJRCrystal
中国台产晶振 :
泰艺晶振TAITIENcrystal
TXC晶振TXCcrystal
鸿星晶振HOSONICcrystal
希华晶振SIWARDcrystal
加高晶振HELEcrystal
百利通亚陶晶振DiodesCrystal
嘉硕晶振TSTcrystal
津绽晶振NSKcrystal
玛居礼晶振MERCURYcrystal
应达利晶振Interquip Crystal
AKER晶振
NKG晶振NKGCrystal
欧美石英晶振 :
CTS晶振CTScrystal
微晶晶振Microcrystal
瑞康晶振RakonCrystal
康纳温菲尔德ConnorWinfield
高利奇晶振GolledgeCrystal
Jauch晶振JauchCrystal
AbraconCrystalAbraconCrystal
维管晶振VectronCrystal
ECScrystal晶振ECScrystal
日蚀晶振ECLIPTEKcrystal
拉隆晶振RaltronCrystal
格林雷晶振GreenrayCrystal
SiTimeCrystalSiTimeCrystal
IDTcrystal晶振IDTcrystal
Pletronics晶振PletronicsCrystal
StatekCrystalStatekCrystal
AEK晶振AEKCrystal
AEL晶振AELcrystal
Cardinal晶振Cardinalcrystal
Crystek晶振Crystekcrystal
Euroquartz晶振Euroquartzcrystal
福克斯晶振FOXcrystal
Frequency晶振Frequencycrystal
GEYER晶振GEYERcrystal
ILSI晶振ILSIcrystal
KVG晶振KVGcrystal
MMDCOMP晶振MMDCOMPcrystal
MtronPTI晶振MtronPTIcrystal
QANTEK晶振QANTEKcrystal
QuartzCom晶振QuartzComcrystal
QuartzChnik晶振QuartzChnikcrystal
SUNTSU晶振SUNTSUcrystal
Transko晶振Transkocrystal
WI2WI晶振WI2WIcrystal
韩国三呢晶振SUNNY Crystal
ITTI晶振ITTICrystal
Oscilent晶振OscilentCrystal
ACT晶振ACTCrystal
Lihom晶振LihomCrystal
Rubyquartz晶振RubyquartzCrystal
SHINSUNG晶振SHINSUNGCrystal
PDI晶振PDICrystal
MTI-milliren晶振MTImillirenCrystal
IQD晶振IQDCrystal
Microchip晶振MicrochipCrystal
Silicon晶振SiliconCrystal
富通晶振FortimingCrystal
科尔晶振CORECrystal
NIPPON晶振NIPPONCrystal
NIC晶振NICCrystal
QVS晶振QVSCrystal
Bomar晶振BomarCrystal
百利晶振BlileyCrystal
GED晶振GEDCrystal
菲特罗尼克斯晶振FiltroneticsCrystal
STD晶振STDCrystal
Q-Tech晶振Q-TechCrystal
安德森晶振AndersonCrystal
文泽尔晶振WenzelCrystal
耐尔晶振NELCrystal
EM晶振EMCrystal
彼得曼晶振PETERMANNCrystal
FCD-Tech晶振FCD-TechCrystal
HEC晶振HECCrystal
FMI晶振FMICrystal
麦克罗比特晶振MacrobizesCrystal
AXTAL晶振AXTALCrystal
ARGO晶振
Skyworks晶振
Renesas瑞萨晶振
Dynamic迪拉尼
有源晶振 :
石英晶体振荡器
温补晶振
压控晶振
VC-TCXO晶振
差分晶振
32.768K有源
恒温晶振
贴片晶振 :
5070晶振
6035晶振
5032晶振
3225晶振
2520晶振
2016晶振
1612晶振
1210晶振
8045晶振
32.768K晶振 :
10.4x4.0晶振
8.0x3.8晶振
7.1x3.3晶振
7.0x1.5晶振
5.0x1.8晶振
4.1x1.5晶振
3.2x1.5晶振
2.0x1.2晶振
1.6x1.0晶振
为你解决国内外知名品牌产品料号代码,查询对照

在线品牌会员

当前位置首页 » 新闻动态 » 压电石英晶体模型分析和射频特性

压电石英晶体模型分析和射频特性

返回列表 来源:CEOB2B晶振平台 浏览:- 发布日期:2018-04-18 09:36:09【

晶体是指其中的原子、分子、或离子以规则、重复的模式朝各方向延伸的一种固体。晶体与几乎所有的弹性物质都具有自然共振频率,透过适当的传感器可加以利用。例如钢铁具有良好弹性、音速快,在石英晶体大量应用以前,钢铁被用作机械式滤波器(英语:Mechanical filter)。共振频率取决于晶体的尺寸、形状、弹性、与物质内的音速。 高频用的晶体通常是切成简单的形状,如方形片状。

典型的低频用晶振则常切成音叉形,例如手表用的那种。如不需要太高的精确度,则也可以使用陶瓷谐振器(英语:Ceramic Resonator)取代石英晶体谐振器。运用石英晶体上的电极对一颗被适当切割并安置的石英晶体施以电场时,晶体会产生变形。这就是压电效应。当外加电场移除时,石英晶体会恢复原状并发出电场,因而在电极上产生电压。这样的特性造成石英晶振在电路中的行为,类似于某种电感器、电容器、与电阻器所组合成的RLC电路。组合中的电感电容谐振频率则反映了石英晶体的实体共振频率。

石英晶体的优点是在温度变化时,影响震荡频率的弹性系数与尺寸变化轻微,因而在频率特性上表现稳定。共振的特性还取决于振动模式与石英的切割角度(相对于晶轴而言),目前常用的是AT切割,它的振荡是厚度剪切(thickness shear)振荡模式。 此外,在需要高精密度与稳定性的严格场合,贴片石英晶振会放置于恒温箱(Crystal oven)与吸振容器内,以防止外部温度与震动的干扰。

分析模型:

电气模型 

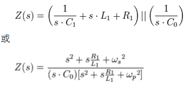
在电气网络中,贴片型石英晶体谐振器可以转换成一组 RLC 等效电路,以利分析。这一电路模型有两个频率接近但特性不同的共振点:低阻抗的串联共振点与高阻抗的并联共振点。运用拉普拉斯转换,该等效电路网络的阻抗可以写成以下数学式:

SPTX1

SPTX2

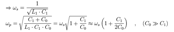
其中s 是复数频率([4]),是串联共振频率,是并联共振频率,以上频率单位都是弪/每秒。在晶体两端并联上额外的并联电容器会使并联后的整体共振频率降低,因此,石英晶体谐振器厂商在制作并测量石英晶体的并联共振频率时,会在特定的并联电容值(称为负载电容)下进行测试。如使用较小的电容值,振荡频率会比规格高,反之比规格低。这一特性也可以用来微调振荡频率。

共振模式 

石英晶体提供了两种共振模式,由C1与L1构成的串联共振,与由C0、C1与L1构成的并联共振。对于一般的MHz级石英晶体而言,串联共振频率一般会比并联共振频率低若干KHz。频率在30MHz以下的石英晶体,通常工作时的频率处于串联共振频率与并联共振频率之间,此时石英晶体呈现电感性阻抗。因为,外部电路上的电容会把电路的振荡频率拉低一些。在设计石英晶体振荡电路时,也应令电路上的杂散电容与外加电容合计値与晶振厂家使用的负载电容值相同,振荡频率才会准确符合厂商的规格。 频率在30MHz以上(到200MHz)的石英晶体,通常工作于串联共振模式,工作时的阻抗处于最低点,相当于Rs。此种晶体通常标示串联电阻(<100Ω)而非并联负载电容。为了达到高的振荡频率,石英晶体会振荡在它的一个谐波频率上,此谐波频率是基频的整数倍。只使用奇数次谐波,例如3倍、5倍、与7倍的泛音晶体。要达到所要的振荡频率,振荡电路上会加入额外的电容器与电感器,以选择出所需的频率。

温度效应      

石英晶体的频率特性取决于形状或切割方式。音叉型晶体通常会切割成温度特性是以25℃为中心的抛物线。这意味着,音叉晶体振荡器在室温下产生的共振频率接近其目标频率,当温度或增加或减少时频率都会降低。频率-温度曲线为抛物线的常见32.768K晶振的温度系数是负百万分之0.04/℃²。

SPTX3

也就是说,如不考虑制作误差,以这种贴片型晶体谐振器控制频率的时钟,如运作在比室温低10℃的环境下,每年会比运作在室温下慢2分钟;如运作在比室温低摄氏20℃的环境下,则每年会比运作在室温下慢8分钟。

CEOB2B晶振平台不是普通的电子元件查询采购平台,最大的特点就是专一,专注和专心,是国内目前唯一一家晶振单一产品采购供应平台。在这里你可以搜罗全球一百多家品牌的石英晶振,陶瓷晶振,甚至是硅编程振荡器。每一种晶振分类都可以找到,非常全面并且快捷,常规料号最快可三天到货,注册成会员后,还有你意想不到的惊喜!

推荐阅读

    【本文标签】:压电石英晶体 晶振射频特性与模型分析
    【责任编辑】:CEOB2B晶振平台版权所有:http://www.jingzhen95.com转载请注明出处