欢迎来到CEOB2B晶振平台

咨询热线:

0755-27839045

日产进口晶振 :
KDS晶振KDScrystal
爱普生晶振EPSONcrystal
NDK晶振NDKcrystal
京瓷晶振KyoceraCrystal
精工晶振SEIKOcrystal
西铁城晶振CITIZENcrystal
村田晶振MurataCrystal
大河晶振RiverCrystal
富士晶振FujicomCrystal
SMI晶振SMICrystal
NAKA晶振NAKACrystal
NJR晶振NJRCrystal
中国台产晶振 :
泰艺晶振TAITIENcrystal
TXC晶振TXCcrystal
鸿星晶振HOSONICcrystal
希华晶振SIWARDcrystal
加高晶振HELEcrystal
百利通亚陶晶振DiodesCrystal
嘉硕晶振TSTcrystal
津绽晶振NSKcrystal
玛居礼晶振MERCURYcrystal
应达利晶振Interquip Crystal
AKER晶振
NKG晶振NKGCrystal
欧美石英晶振 :
CTS晶振CTScrystal
微晶晶振Microcrystal
瑞康晶振RakonCrystal
康纳温菲尔德ConnorWinfield
高利奇晶振GolledgeCrystal
Jauch晶振JauchCrystal
AbraconCrystalAbraconCrystal
维管晶振VectronCrystal
ECScrystal晶振ECScrystal
日蚀晶振ECLIPTEKcrystal
拉隆晶振RaltronCrystal
格林雷晶振GreenrayCrystal
SiTimeCrystalSiTimeCrystal
IDTcrystal晶振IDTcrystal
Pletronics晶振PletronicsCrystal
StatekCrystalStatekCrystal
AEK晶振AEKCrystal
AEL晶振AELcrystal
Cardinal晶振Cardinalcrystal
Crystek晶振Crystekcrystal
Euroquartz晶振Euroquartzcrystal
福克斯晶振FOXcrystal
Frequency晶振Frequencycrystal
GEYER晶振GEYERcrystal
ILSI晶振ILSIcrystal
KVG晶振KVGcrystal
MMDCOMP晶振MMDCOMPcrystal
MtronPTI晶振MtronPTIcrystal
QANTEK晶振QANTEKcrystal
QuartzCom晶振QuartzComcrystal
QuartzChnik晶振QuartzChnikcrystal
SUNTSU晶振SUNTSUcrystal
Transko晶振Transkocrystal
WI2WI晶振WI2WIcrystal
韩国三呢晶振SUNNY Crystal
ITTI晶振ITTICrystal
Oscilent晶振OscilentCrystal
ACT晶振ACTCrystal
Lihom晶振LihomCrystal
Rubyquartz晶振RubyquartzCrystal
SHINSUNG晶振SHINSUNGCrystal
PDI晶振PDICrystal
MTI-milliren晶振MTImillirenCrystal
IQD晶振IQDCrystal
Microchip晶振MicrochipCrystal
Silicon晶振SiliconCrystal
富通晶振FortimingCrystal
科尔晶振CORECrystal
NIPPON晶振NIPPONCrystal
NIC晶振NICCrystal
QVS晶振QVSCrystal
Bomar晶振BomarCrystal
百利晶振BlileyCrystal
GED晶振GEDCrystal
菲特罗尼克斯晶振FiltroneticsCrystal
STD晶振STDCrystal
Q-Tech晶振Q-TechCrystal
安德森晶振AndersonCrystal
文泽尔晶振WenzelCrystal
耐尔晶振NELCrystal
EM晶振EMCrystal
彼得曼晶振PETERMANNCrystal
FCD-Tech晶振FCD-TechCrystal
HEC晶振HECCrystal
FMI晶振FMICrystal
麦克罗比特晶振MacrobizesCrystal
AXTAL晶振AXTALCrystal
ARGO晶振
Skyworks晶振
Renesas瑞萨晶振
Dynamic迪拉尼
有源晶振 :
石英晶体振荡器
温补晶振
压控晶振
VC-TCXO晶振
差分晶振
32.768K有源
恒温晶振
贴片晶振 :
5070晶振
6035晶振
5032晶振
3225晶振
2520晶振
2016晶振
1612晶振
1210晶振
8045晶振
32.768K晶振 :
10.4x4.0晶振
8.0x3.8晶振
7.1x3.3晶振
7.0x1.5晶振
5.0x1.8晶振
4.1x1.5晶振
3.2x1.5晶振
2.0x1.2晶振
1.6x1.0晶振
为你解决国内外知名品牌产品料号代码,查询对照

在线品牌会员

当前位置首页 » 关于我们 » 压电石英晶体技术资料 » 探讨石英晶振的压电方程公式

探讨石英晶振的压电方程公式

返回列表 来源:CEOB2B晶振平台 浏览:- 发布日期:2018-05-11 08:52:02【

  通过前几节讨论,我们知道,晶体介电性质所遵循的电学规律是用介电方程来表达的,介电方程反映了电位移D与电场强度E之间的线性关系。晶体的弹性性质所遵循的力学规律是用弹性方程来表达的。弹性方程反映了应力张量T与应变张量S之间的线性关系。同样,晶振的压电性质所遵循的机电规律是用压电方程来表达的,压电方程反映了D、E、T、S四个量之间的线性关系。

一、压电方程

  石英晶振是弹性介质,也是电介质,在应力张量T和电场E的分别作用下,将产生弹性应变和介电电位移,即:
   S弹=SET;
   D介=εTE;
  式中,SE为E=0(或常数)时的弹性柔顺常数矩阵;εT为T=0(或常数)时的介电常数矩阵。
  石英晶体也是压电体,在T和E的作用下,将通过正、逆压电效应产生压电应变和压电电位移,即:
   S压=dtE;
   D压=dT;
所以,石英晶体的总应变和总电位移为
   S=S弹+S压,
   D=D压+D介

即:

2.6-1

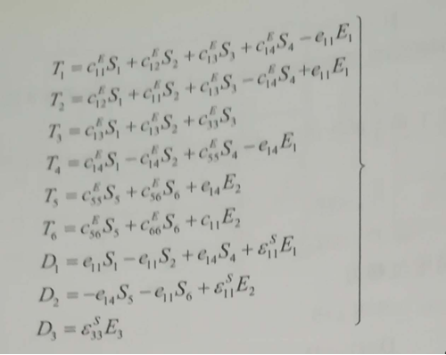
  式(2.6.1)或式(2.6.2)称为石英晶体振荡器的第一类压电方程。第一类压电方程的特点是以Tj、Em为自变量,Si、Dn,为因变量,相应的压电常数为dmj。如果选SJ、Em品为自变量,Ti,Dn,为因变量,相应的压电方程为第二类压电方程为:

2.6-2

  式中,CEij 为E=0(或常数)时的短路弹性常数;εsmn 为S=0(或常数)时的介电常数,称为受夹介电常数,式(2.6.3)也可以写成矩阵形式,即:

2.6-3

  式中,压电常数矩阵e为:

2.6-4

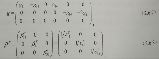
  如果选Tj、Dm为自变量,Si、Em为因变量,则相应的压电方程为第三类压电方程:

2.6-5 

  式中,sD为D=0(或常数)时的弹性柔顺常数矩阵,g为压电常数矩阵:βT为自由介电隔离率矩阵。G和βT的表达式分别为:

2.6-6

 
  如果选Sj、Dm为自变量,Ti、En为因变量,相应的压电方程为第四类压电方程:

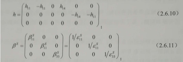
2.6-7 

  式中,cD为D=0(或常数)时的弹性刚度常数矩阵;h 为压电常数矩阵;βS 为受夹介电隔离率矩阵;h和βS 的表达式分别为:

2.6-8

 CEOB2B晶振平台是全球领先的晶振单一采购平台,在这里你可以查询到海内外所有品牌产品替代,查询全球上百家知名品牌,替代产品,总有一款适合的,汇集了数千万中晶振产品供选择,只要您需要的,这里都给您准备好了.