欢迎来到CEOB2B晶振平台

咨询热线:

0755-27839045

日产进口晶振 :
KDS晶振KDScrystal
爱普生晶振EPSONcrystal
NDK晶振NDKcrystal
京瓷晶振KyoceraCrystal
精工晶振SEIKOcrystal
西铁城晶振CITIZENcrystal
村田晶振MurataCrystal
大河晶振RiverCrystal
富士晶振FujicomCrystal
SMI晶振SMICrystal
NAKA晶振NAKACrystal
NJR晶振NJRCrystal
中国台产晶振 :
泰艺晶振TAITIENcrystal
TXC晶振TXCcrystal
鸿星晶振HOSONICcrystal
希华晶振SIWARDcrystal
加高晶振HELEcrystal
百利通亚陶晶振DiodesCrystal
嘉硕晶振TSTcrystal
津绽晶振NSKcrystal
玛居礼晶振MERCURYcrystal
应达利晶振Interquip Crystal
AKER晶振
NKG晶振NKGCrystal
欧美石英晶振 :
CTS晶振CTScrystal
微晶晶振Microcrystal
瑞康晶振RakonCrystal
康纳温菲尔德ConnorWinfield
高利奇晶振GolledgeCrystal
Jauch晶振JauchCrystal
AbraconCrystalAbraconCrystal
维管晶振VectronCrystal
ECScrystal晶振ECScrystal
日蚀晶振ECLIPTEKcrystal
拉隆晶振RaltronCrystal
格林雷晶振GreenrayCrystal
SiTimeCrystalSiTimeCrystal
IDTcrystal晶振IDTcrystal
Pletronics晶振PletronicsCrystal
StatekCrystalStatekCrystal
AEK晶振AEKCrystal
AEL晶振AELcrystal
Cardinal晶振Cardinalcrystal
Crystek晶振Crystekcrystal
Euroquartz晶振Euroquartzcrystal
福克斯晶振FOXcrystal
Frequency晶振Frequencycrystal
GEYER晶振GEYERcrystal
ILSI晶振ILSIcrystal
KVG晶振KVGcrystal
MMDCOMP晶振MMDCOMPcrystal
MtronPTI晶振MtronPTIcrystal
QANTEK晶振QANTEKcrystal
QuartzCom晶振QuartzComcrystal
QuartzChnik晶振QuartzChnikcrystal
SUNTSU晶振SUNTSUcrystal
Transko晶振Transkocrystal
WI2WI晶振WI2WIcrystal
韩国三呢晶振SUNNY Crystal
ITTI晶振ITTICrystal
Oscilent晶振OscilentCrystal
ACT晶振ACTCrystal
Lihom晶振LihomCrystal
Rubyquartz晶振RubyquartzCrystal
SHINSUNG晶振SHINSUNGCrystal
PDI晶振PDICrystal
MTI-milliren晶振MTImillirenCrystal
IQD晶振IQDCrystal
Microchip晶振MicrochipCrystal
Silicon晶振SiliconCrystal
富通晶振FortimingCrystal
科尔晶振CORECrystal
NIPPON晶振NIPPONCrystal
NIC晶振NICCrystal
QVS晶振QVSCrystal
Bomar晶振BomarCrystal
百利晶振BlileyCrystal
GED晶振GEDCrystal
菲特罗尼克斯晶振FiltroneticsCrystal
STD晶振STDCrystal
Q-Tech晶振Q-TechCrystal
安德森晶振AndersonCrystal
文泽尔晶振WenzelCrystal
耐尔晶振NELCrystal
EM晶振EMCrystal
彼得曼晶振PETERMANNCrystal
FCD-Tech晶振FCD-TechCrystal
HEC晶振HECCrystal
FMI晶振FMICrystal
麦克罗比特晶振MacrobizesCrystal
AXTAL晶振AXTALCrystal
ARGO晶振
Skyworks晶振
Renesas瑞萨晶振
Dynamic迪拉尼
有源晶振 :
石英晶体振荡器
温补晶振
压控晶振
VC-TCXO晶振
差分晶振
32.768K有源
恒温晶振
贴片晶振 :
5070晶振
6035晶振
5032晶振
3225晶振
2520晶振
2016晶振
1612晶振
1210晶振
8045晶振
32.768K晶振 :
10.4x4.0晶振
8.0x3.8晶振
7.1x3.3晶振
7.0x1.5晶振
5.0x1.8晶振
4.1x1.5晶振
3.2x1.5晶振
2.0x1.2晶振
1.6x1.0晶振
为你解决国内外知名品牌产品料号代码,查询对照

在线品牌会员

当前位置首页 » 关于我们 » 压电石英晶体技术资料 » 石英晶振有关的弹性刚度常数与切角选择

石英晶振有关的弹性刚度常数与切角选择

返回列表 来源:CEOB2B晶振平台 浏览:- 发布日期:2018-05-18 09:02:28【

CEOB2B晶振平台汇集了数千万种晶振产品,只要你需要的这里都给你准备好了.下面为CEOB2B晶振平台给大家介绍的石英晶振有关的弹性刚度常数与切角选择,欢迎有需要人士收藏下载.

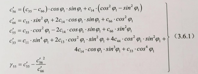
有关的弹性刚度常数

以下计算要应用的弹性刚度常数如下:

3.6.1

贝赫曼( R·Bechmann)给出开路、短路弹性刚度常数如下

CijD (开路)                                   CijE (短路)

C55=57.98×109N/m2                    C55=57.93×109N/m2

C14=-18.09×109N/m2                   C1=-17.91×109N/m

C66=40.626×109N/m2                   C66=39.88×109N/m2

C11=87.468×109N/m2                   C11=86.74×109N/m2

C12=6.244×109N/m2                     C12=6.99×109N/m2

C13=11.91×109N/m2                     C13=11.91×109N/m2

C33=107.2×109N/m2                    C33=107.1×109N/m2

C44=C55  

                                  C14=C65

说明:

(1) 若测量电路的电阻远小于石英晶振的电阻,则可以近似地认为外电路处于短路状态,这时电极面上没有电荷积累。所以石英片内的电场强度E=0(或常数),这样的电学边界条件称为短路条件,在该条件测得的弹性常数叫短路弹性常数如cijEsijE

(2) 若测量电路的电阻远大石英晶体的电阻,则可以近似地认为外电路处于开路状态,这时电极面上的自由电荷保持不变即电位移D=0(或常数),这样的电学边界条件称为开路条件,在该条件测得的弹性常数叫开路弹性常数如CijDSijD

切角的选择

长条片切角是根据工作温度范围、温度频差及晶振频率来选取的,具体的可参照表3.6.1初步确定设计十中心角。切角误差根据表3.2.2选取。

3.6.1各频段石英片切角及换算成所需角度表

表3.6.1各频段石英片切角及换算成所需角度表

表3.6.1三次泛音