欢迎来到CEOB2B晶振平台

咨询热线:

0755-27839045

日产进口晶振 :
KDS晶振KDScrystal
爱普生晶振EPSONcrystal
NDK晶振NDKcrystal
京瓷晶振KyoceraCrystal
精工晶振SEIKOcrystal
西铁城晶振CITIZENcrystal
村田晶振MurataCrystal
大河晶振RiverCrystal
富士晶振FujicomCrystal
SMI晶振SMICrystal
NAKA晶振NAKACrystal
NJR晶振NJRCrystal
中国台产晶振 :
泰艺晶振TAITIENcrystal
TXC晶振TXCcrystal
鸿星晶振HOSONICcrystal
希华晶振SIWARDcrystal
加高晶振HELEcrystal
百利通亚陶晶振DiodesCrystal
嘉硕晶振TSTcrystal
津绽晶振NSKcrystal
玛居礼晶振MERCURYcrystal
应达利晶振Interquip Crystal
AKER晶振
NKG晶振NKGCrystal
欧美石英晶振 :
CTS晶振CTScrystal
微晶晶振Microcrystal
瑞康晶振RakonCrystal
康纳温菲尔德ConnorWinfield
高利奇晶振GolledgeCrystal
Jauch晶振JauchCrystal
AbraconCrystalAbraconCrystal
维管晶振VectronCrystal
ECScrystal晶振ECScrystal
日蚀晶振ECLIPTEKcrystal
拉隆晶振RaltronCrystal
格林雷晶振GreenrayCrystal
SiTimeCrystalSiTimeCrystal
IDTcrystal晶振IDTcrystal
Pletronics晶振PletronicsCrystal
StatekCrystalStatekCrystal
AEK晶振AEKCrystal
AEL晶振AELcrystal
Cardinal晶振Cardinalcrystal
Crystek晶振Crystekcrystal
Euroquartz晶振Euroquartzcrystal
福克斯晶振FOXcrystal
Frequency晶振Frequencycrystal
GEYER晶振GEYERcrystal
ILSI晶振ILSIcrystal
KVG晶振KVGcrystal
MMDCOMP晶振MMDCOMPcrystal
MtronPTI晶振MtronPTIcrystal
QANTEK晶振QANTEKcrystal
QuartzCom晶振QuartzComcrystal
QuartzChnik晶振QuartzChnikcrystal
SUNTSU晶振SUNTSUcrystal
Transko晶振Transkocrystal
WI2WI晶振WI2WIcrystal
韩国三呢晶振SUNNY Crystal
ITTI晶振ITTICrystal
Oscilent晶振OscilentCrystal
ACT晶振ACTCrystal
Lihom晶振LihomCrystal
Rubyquartz晶振RubyquartzCrystal
SHINSUNG晶振SHINSUNGCrystal
PDI晶振PDICrystal
MTI-milliren晶振MTImillirenCrystal
IQD晶振IQDCrystal
Microchip晶振MicrochipCrystal
Silicon晶振SiliconCrystal
富通晶振FortimingCrystal
科尔晶振CORECrystal
NIPPON晶振NIPPONCrystal
NIC晶振NICCrystal
QVS晶振QVSCrystal
Bomar晶振BomarCrystal
百利晶振BlileyCrystal
GED晶振GEDCrystal
菲特罗尼克斯晶振FiltroneticsCrystal
STD晶振STDCrystal
Q-Tech晶振Q-TechCrystal
安德森晶振AndersonCrystal
文泽尔晶振WenzelCrystal
耐尔晶振NELCrystal
EM晶振EMCrystal
彼得曼晶振PETERMANNCrystal
FCD-Tech晶振FCD-TechCrystal
HEC晶振HECCrystal
FMI晶振FMICrystal
麦克罗比特晶振MacrobizesCrystal
AXTAL晶振AXTALCrystal
ARGO晶振
Skyworks晶振
Renesas瑞萨晶振
Dynamic迪拉尼
有源晶振 :
石英晶体振荡器
温补晶振
压控晶振
VC-TCXO晶振
差分晶振
32.768K有源
恒温晶振
贴片晶振 :
5070晶振
6035晶振
5032晶振
3225晶振
2520晶振
2016晶振
1612晶振
1210晶振
8045晶振
32.768K晶振 :
10.4x4.0晶振
8.0x3.8晶振
7.1x3.3晶振
7.0x1.5晶振
5.0x1.8晶振
4.1x1.5晶振
3.2x1.5晶振
2.0x1.2晶振
1.6x1.0晶振
为你解决国内外知名品牌产品料号代码,查询对照

在线品牌会员

当前位置首页 » 关于我们 » 压电石英晶体技术资料 » 石英晶振温度特性及等效电路

石英晶振温度特性及等效电路

返回列表 来源:CEOB2B晶振平台 浏览:- 发布日期:2018-02-09 09:24:48【

  石英谐振器的形成及等效电路

  石英晶体是一种单晶体结构的硅石,其成分是二氧化硅(SAO2),其形状为六角形晶柱,两端呈六棱锥形状。从石英晶体上按照一定的方位切下一片很薄的石英晶片,如图2-1所示,按照不同的角度得到的石英晶片可以做成不同的石英晶振

1

  然后对石英晶片进行高精度研磨,使其达到特定要求的尺寸。接着在晶片的两面涂敷金属电极层,并且每个电级层与管脚相连,最后为了保护晶片,加上封装外壳就形成了石英谐振器。当封装前加入元器件,构成振荡电路以后再封装就构成了石英晶振

  石英谐振器的表示符号和等效电路如图2-2所示。其中L1为串联等效电感,C1为串联等效电容,R1为串联等效电阻,Co为静态电容。当石英谐振器没有振动时,就可以等效成一个平板电容。其电容容量则取决于石英晶片的几何尺寸和涂敷的金属电极的尺寸。

  当石英谐振器振动时,石英晶片就等效成一个串联谐振回路。其中L相当于机械振动的惯性,C1相当于石英晶片的弹性,R1相当于石英晶片振动时由于摩擦而产生的损耗。因为L很大,C1R1很小,因此回路的品质因数极高,可达100000~10000

2

2.3石英晶体谐振器的谐振频率

  如图2-2,石英谐振器的等效电路是一个复谐振电路,有两个谐振频率。一个是晶片的自然振动频率,也就是L1C1支路的串联谐振频率ωr:

2.3-1

  另一个是石英谐振器的并联谐振频率ωL:

2.3-2

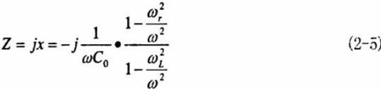
  其中,CC0C1串联后的总电容。出于C1>C,因此ωL>0r,。但是又因为C1<<C0, 所以这两个谐振频率又是十分接近的[9]

2.4石英谐振器的电抗曲线

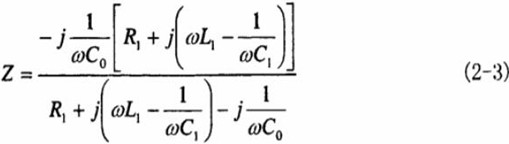
  根据图2-2等效电路可计算出该电路的阻抗为:

2.4-1

  为了简化计算,忽略电阻R1的影响,则阻抗的公式可简化为只有电抗分量:

2.4-2

  将(2-4)式分子和分母同时乘以,0,并将式(2-1),(2-2)代人,则有:

2.4-3

  由式2-5可知,电抗X是频率a的函数,其值和呈现的容性或感性都取决于频率a

可以根据该式,画出贴片晶振的电抗曲线如图2-3所示[9]

2.4-4

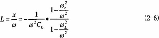
  由图2-3可知,0<0<0,,石英谐振器的电抗呈现出容性,即可以等效为个电容。当o=o,,石英谐振器的电抗为0,出现串联谐振现象。当0L>0)>0r,石英谐振器的电抗呈现出感性,即可以等效为一个电感L。当a=0,石英谐振器产生并联谐振,此时的电抗为。当0>02以后,石英谐振器的电抗呈现出容性, 即可以等效为一个电容。在实际应用中,都会使石英谐振器工作在0n>>0,即将石英谐振器等效为一个电感L使用。则根据式2-5可得到:

2.4-5

  出式2-6可知,电感L也是频率ω的函数。在ωL>ω>ωr区间,电感L的值随着ω增加而不断增加,且当ω=ωr,电感L的值为0:;当ω=ωr,电感L的值为∞[9]

2.5石英晶振的温度特性

  石英晶振的一个主要的特性是温度特性。所谓温度特性是指频率的偏移量随菥温度变化的关系。石英晶振的温度特性主要由石英晶片的密度、外形尺寸、以及弹性率的温度特性决定。为此要使石英晶振的温度特性达到最优,只需将这三个温度特性合成后趋于0即可。因此,晶振的实际设计中,努力寻找在指定温度范围内的这种最优条件。不同类型的石英晶振之所以要使用不同切割角度的石英晶片,就是设计人员根据不同的应用(包括使用的频率和振动方式等)依据这个特性所决定的。

  图2-1是不同切割角度的温度特性的比较。从图中可以看出,当温度在大于30℃,按照AT角度切割的石英晶片的特性曲线比其他的特性曲线都平坦,说明在此温度范围内温度变化后频率产生的偏移量最小,温度特性也最佳,如图2-5所示,同是AT切割的时候,当切割角度有少量偏差时温度特性曲线也会随之变化。

2.5-1