欢迎来到CEOB2B晶振平台

咨询热线:

0755-27839045

日产进口晶振 :
KDS晶振KDScrystal
爱普生晶振EPSONcrystal
NDK晶振NDKcrystal
京瓷晶振KyoceraCrystal
精工晶振SEIKOcrystal
西铁城晶振CITIZENcrystal
村田晶振MurataCrystal
大河晶振RiverCrystal
富士晶振FujicomCrystal
SMI晶振SMICrystal
NAKA晶振NAKACrystal
NJR晶振NJRCrystal
中国台产晶振 :
泰艺晶振TAITIENcrystal
TXC晶振TXCcrystal
鸿星晶振HOSONICcrystal
希华晶振SIWARDcrystal
加高晶振HELEcrystal
百利通亚陶晶振DiodesCrystal
嘉硕晶振TSTcrystal
津绽晶振NSKcrystal
玛居礼晶振MERCURYcrystal
应达利晶振Interquip Crystal
AKER晶振
NKG晶振NKGCrystal
欧美石英晶振 :
CTS晶振CTScrystal
微晶晶振Microcrystal
瑞康晶振RakonCrystal
康纳温菲尔德ConnorWinfield
高利奇晶振GolledgeCrystal
Jauch晶振JauchCrystal
AbraconCrystalAbraconCrystal
维管晶振VectronCrystal
ECScrystal晶振ECScrystal
日蚀晶振ECLIPTEKcrystal
拉隆晶振RaltronCrystal
格林雷晶振GreenrayCrystal
SiTimeCrystalSiTimeCrystal
IDTcrystal晶振IDTcrystal
Pletronics晶振PletronicsCrystal
StatekCrystalStatekCrystal
AEK晶振AEKCrystal
AEL晶振AELcrystal
Cardinal晶振Cardinalcrystal
Crystek晶振Crystekcrystal
Euroquartz晶振Euroquartzcrystal
福克斯晶振FOXcrystal
Frequency晶振Frequencycrystal
GEYER晶振GEYERcrystal
ILSI晶振ILSIcrystal
KVG晶振KVGcrystal
MMDCOMP晶振MMDCOMPcrystal
MtronPTI晶振MtronPTIcrystal
QANTEK晶振QANTEKcrystal
QuartzCom晶振QuartzComcrystal
QuartzChnik晶振QuartzChnikcrystal
SUNTSU晶振SUNTSUcrystal
Transko晶振Transkocrystal
WI2WI晶振WI2WIcrystal
韩国三呢晶振SUNNY Crystal
ITTI晶振ITTICrystal
Oscilent晶振OscilentCrystal
ACT晶振ACTCrystal
Lihom晶振LihomCrystal
Rubyquartz晶振RubyquartzCrystal
SHINSUNG晶振SHINSUNGCrystal
PDI晶振PDICrystal
MTI-milliren晶振MTImillirenCrystal
IQD晶振IQDCrystal
Microchip晶振MicrochipCrystal
Silicon晶振SiliconCrystal
富通晶振FortimingCrystal
科尔晶振CORECrystal
NIPPON晶振NIPPONCrystal
NIC晶振NICCrystal
QVS晶振QVSCrystal
Bomar晶振BomarCrystal
百利晶振BlileyCrystal
GED晶振GEDCrystal
菲特罗尼克斯晶振FiltroneticsCrystal
STD晶振STDCrystal
Q-Tech晶振Q-TechCrystal
安德森晶振AndersonCrystal
文泽尔晶振WenzelCrystal
耐尔晶振NELCrystal
EM晶振EMCrystal
彼得曼晶振PETERMANNCrystal
FCD-Tech晶振FCD-TechCrystal
HEC晶振HECCrystal
FMI晶振FMICrystal
麦克罗比特晶振MacrobizesCrystal
AXTAL晶振AXTALCrystal
ARGO晶振
Skyworks晶振
Renesas瑞萨晶振
Dynamic迪拉尼
有源晶振 :
石英晶体振荡器
温补晶振
压控晶振
VC-TCXO晶振
差分晶振
32.768K有源
恒温晶振
贴片晶振 :
5070晶振
6035晶振
5032晶振
3225晶振
2520晶振
2016晶振
1612晶振
1210晶振
8045晶振
32.768K晶振 :
10.4x4.0晶振
8.0x3.8晶振
7.1x3.3晶振
7.0x1.5晶振
5.0x1.8晶振
4.1x1.5晶振
3.2x1.5晶振
2.0x1.2晶振
1.6x1.0晶振
为你解决国内外知名品牌产品料号代码,查询对照

在线品牌会员

当前位置首页 » 关于我们 » 压电石英晶体技术资料 » 石英晶振工作不良评判可靠性分析结果

石英晶振工作不良评判可靠性分析结果

返回列表 来源:CEOB2B晶振平台 浏览:- 发布日期:2018-02-03 08:59:37【

  石英晶振在使用过程中多多少少都会遇到一些工作不良的情况,该如何评判是哪方面出现问题,应该采取哪些措施?最后的得出的结论是什么?下面简单讲解如何评判。  

确定综合评判模型,进行一级评判

  在评判过程中,为综合考虑所有因素的影响,本文采用了加权平均模型,根据式公式:

3.5-1

  可得石英晶振的评判模型为:

3.5-2

  W1=W2=W3=(0.127,0.057,0.203,0.1320.061,0.055,0.0270059,0.0210.131,0.063,0.022,0.019,0023)

于是可分别得到对因素U1U2U3的一级评判结果

B1=W1*R1=(0.041,0.163,0.428,0,2740.095)

B2=W2*R2=(0.413,0.2190.217,0.113,0.038)

B3=W3*R3=(0,0.083,0.554,0.292,0080)

再分别进行归一化可得

B1=(0041,0.163,0.27,0.274,0.09)

B2=(0.413,0.219,0.217,0.113,0.038)

B3=(0,0.082,0.549,0290,0079)

由此,可得石英晶振、贴片晶振工作不良的一级评判结论:

  (1)关于故障发生频度,判定其经常发生的专家有4.1%,判定其有时发生的专家16.3%,判定其偶然发生的专家有42.7%,判定其很少发生的专家有27.4%,判定其极少发生的专家9.5%。根据最大隶属度原则,可以以42.7%的概率判定

石英晶振这一故障偶然发生。

  (2)关于故障影响程度,判定该故障会造成致命后果的专家有41.3%,判定其会造成重大功能丧失的专家21.9%,判定其会造成系统功能降低的专家有21.7%,判定其会只会造成轻微的影响的专家有1.3%,而判定该故障对系统几乎无影响的专家只有3.8%。所以,根据最大隶属度原则,可以以41.3%的几率认为该故障会造成致命的后果。

  (3)关于检测难易程度,所有专家都认为该故障能够检测,判定其不经测试无法检测的专家有8.2%,判定其在检查时可以发现的专家有54.9%,判定其在前期检查过程中可发现的专家有29%,判定其可以直接发现的专家有7.9%,根据最大隶属度原则,可以以54.9%的几率认为该故障在常规检查过程中可发现

6.二级模糊综合评判

由一级评判结果可以得到二级评判矩阵:

3.5-3

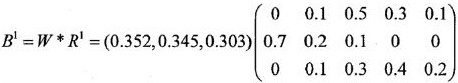
  又根据前一节可知U1U2U3的权重为W=(0.352,0.3450.303),则石英晶振的二级评判结果为

B2=W*R=(0.2868,0.1578,0.3915,0.2138,0.0501)

7.评判结果的清晰化

  仅由最大隶属度原则得到评判结果,会显得考虑不够周全,结果不够精准, 因为该方法虽然简单易行,却忽略了那些隶属度较小的因素对整个评判系统的影响。因此,我们需要重新选取方法对结果进行清晰化处理,本文将应用重心法, 为了突出隶属度大的因素的作用,选择[uui) ]2作为加权系数。

  在进行清晰化处理之前,要先对上述不一致的评语集Vi(i=1,2,3)进行重新定义,并赋予新的评价值,从而统一这三组评语集,如表3-10所示

3.5-4

经过上述修改后,可得到清晰化处理的公式如下:

3.5-5

其中,V1=i(i=1,2,3,4,5)。因此,可以得到:

B0=3.43

  经过清晰化处理,所得到的B0值即为评判的晶振的安全等级。针对石英晶振的安全等级,木文提出了一些建议,如表3-11所示因为石英晶振二级评判结果为B0=3.43,所以其评判等级为一般。说明: 石英晶振在一般情况下是安全的,但是石英晶振中还是存在一定的隐患,需要对关键部件加强监测,并制定及酌情实施相应的纠正措施,以防止故障的发生。

3.5-6

8.基于模糊综合评判的综合CA模型

  进行一级模糊综合评价之后,可以得到VU的三个评判矩阵,每个评判矩阵都是以各因素对各故障模式的模糊评判向量为行构成,例如矩阵R1的第一行, 是因素U1的评语集V1对故障模式u1的模糊评判向量。由此,我们可以得到所有因素对某一故障模式的模糊评判矩阵。

  以故障模式u1为例,说明确定故障模式危害度等级的过程。经过提取,可以得到:故障发生频度评判集R11、影响严重程度评判集R21和检测难易程度评判集R31.

3.5-7

  由前面的章节已经得到各因素的权重分配为W=(0.352,0.3450.303),可以得到对故障模式u1的一级模糊综合评判:

3.5-8

  为了确定故障模式u1对系统的综合危害程度,计算故障模式u1的综合危害等级为:

3.5-9

  其中,VI=i(i=1,2,3,4,5),与上述统一后的评语集相一致,bi(i=1,23,4,5)为矩阵B中的各元

所以可以得到故障模式u1对系统的综合危害等级:

C1=2.17

同理可得到其他故障模式的综合危害度等级:

C=(C1C2,C3,C4,C5,C6,C7,C8,C9,C10C10  C11  C12  C13 C14=(2.71,3.12,3.39,3.15,3.00,287,2,46,2.85,245,3.08,3.32,2.82,2.88,2.87) 根据综合危害等级可以对石英晶振的各故障模式按危害度等级进行排序:

u3> u11> u4> u2> u10> u5> u13> u6> u14> u8> u12> u1> u7> u9

3.5A型石英晶振可靠性分析结果

  通过对A型石英晶振 FMECA分析结果得知,故障模式引起I类严酷度是代号014010002006003001的失效模式,对应的部件为:底座、热敏电阻、PCB板、稳压器、三极管、晶体。特别是001故障模式对产品可靠性的影响最大,需要给予最大关注。对A型石英晶振进行模糊 FMECA综合评判, 并在定量分析的基础上建立模糊CA模型,该结果指明了风险优先顺序,即需要对排在前面的故障模式进行优先考虑,优先设计并实施补偿改进措施,对风险级别较高的故障模式要特别注意。比如,u3故障模式危害度排在第一,对应的故障模式是晶体损坏,需加强控制。