欢迎来到CEOB2B晶振平台

咨询热线:

0755-27839045

日产进口晶振 :
KDS晶振KDScrystal
爱普生晶振EPSONcrystal
NDK晶振NDKcrystal
京瓷晶振KyoceraCrystal
精工晶振SEIKOcrystal
西铁城晶振CITIZENcrystal
村田晶振MurataCrystal
大河晶振RiverCrystal
富士晶振FujicomCrystal
SMI晶振SMICrystal
NAKA晶振NAKACrystal
NJR晶振NJRCrystal
中国台产晶振 :
泰艺晶振TAITIENcrystal
TXC晶振TXCcrystal
鸿星晶振HOSONICcrystal
希华晶振SIWARDcrystal
加高晶振HELEcrystal
百利通亚陶晶振DiodesCrystal
嘉硕晶振TSTcrystal
津绽晶振NSKcrystal
玛居礼晶振MERCURYcrystal
应达利晶振Interquip Crystal
AKER晶振
NKG晶振NKGCrystal
欧美石英晶振 :
CTS晶振CTScrystal
微晶晶振Microcrystal
瑞康晶振RakonCrystal
康纳温菲尔德ConnorWinfield
高利奇晶振GolledgeCrystal
Jauch晶振JauchCrystal
AbraconCrystalAbraconCrystal
维管晶振VectronCrystal
ECScrystal晶振ECScrystal
日蚀晶振ECLIPTEKcrystal
拉隆晶振RaltronCrystal
格林雷晶振GreenrayCrystal
SiTimeCrystalSiTimeCrystal
IDTcrystal晶振IDTcrystal
Pletronics晶振PletronicsCrystal
StatekCrystalStatekCrystal
AEK晶振AEKCrystal
AEL晶振AELcrystal
Cardinal晶振Cardinalcrystal
Crystek晶振Crystekcrystal
Euroquartz晶振Euroquartzcrystal
福克斯晶振FOXcrystal
Frequency晶振Frequencycrystal
GEYER晶振GEYERcrystal
ILSI晶振ILSIcrystal
KVG晶振KVGcrystal
MMDCOMP晶振MMDCOMPcrystal
MtronPTI晶振MtronPTIcrystal
QANTEK晶振QANTEKcrystal
QuartzCom晶振QuartzComcrystal
QuartzChnik晶振QuartzChnikcrystal
SUNTSU晶振SUNTSUcrystal
Transko晶振Transkocrystal
WI2WI晶振WI2WIcrystal
韩国三呢晶振SUNNY Crystal
ITTI晶振ITTICrystal
Oscilent晶振OscilentCrystal
ACT晶振ACTCrystal
Lihom晶振LihomCrystal
Rubyquartz晶振RubyquartzCrystal
SHINSUNG晶振SHINSUNGCrystal
PDI晶振PDICrystal
MTI-milliren晶振MTImillirenCrystal
IQD晶振IQDCrystal
Microchip晶振MicrochipCrystal
Silicon晶振SiliconCrystal
富通晶振FortimingCrystal
科尔晶振CORECrystal
NIPPON晶振NIPPONCrystal
NIC晶振NICCrystal
QVS晶振QVSCrystal
Bomar晶振BomarCrystal
百利晶振BlileyCrystal
GED晶振GEDCrystal
菲特罗尼克斯晶振FiltroneticsCrystal
STD晶振STDCrystal
Q-Tech晶振Q-TechCrystal
安德森晶振AndersonCrystal
文泽尔晶振WenzelCrystal
耐尔晶振NELCrystal
EM晶振EMCrystal
彼得曼晶振PETERMANNCrystal
FCD-Tech晶振FCD-TechCrystal
HEC晶振HECCrystal
FMI晶振FMICrystal
麦克罗比特晶振MacrobizesCrystal
AXTAL晶振AXTALCrystal
ARGO晶振
Skyworks晶振
Renesas瑞萨晶振
Dynamic迪拉尼
有源晶振 :
石英晶体振荡器
温补晶振
压控晶振
VC-TCXO晶振
差分晶振
32.768K有源
恒温晶振
贴片晶振 :
5070晶振
6035晶振
5032晶振
3225晶振
2520晶振
2016晶振
1612晶振
1210晶振
8045晶振
32.768K晶振 :
10.4x4.0晶振
8.0x3.8晶振
7.1x3.3晶振
7.0x1.5晶振
5.0x1.8晶振
4.1x1.5晶振
3.2x1.5晶振
2.0x1.2晶振
1.6x1.0晶振
为你解决国内外知名品牌产品料号代码,查询对照

在线品牌会员

当前位置首页 » 新闻动态 » 石英晶体振荡器共振频率及等效电路工程式

石英晶体振荡器共振频率及等效电路工程式

返回列表 来源:CEOB2B晶振平台 浏览:- 发布日期:2018-04-25 10:08:27【

石英的化学成分为SiO2,晶体属三方晶系的氧化物矿物,即低温石英(a-石英),是石英族矿物中分布最广的一个矿物种。广义的石英还包括高温石英(b-石英)

低温石英常呈带尖顶的六方柱状晶体产出,柱面有横纹,类似于六方双锥状的尖顶实际上是由两个菱面体单形所形成的。石英集合体通常呈粒状、块状或晶簇、晶腺等。纯净的石英无色透明,玻璃光泽,贝壳状断口上具油脂光泽,无解理。受压或受热能产生电效应。

石英晶振:虽然存在众多可满足振荡器基本要求的结晶物质,但是晶体的最常用材料是石英,因为它具有许多理想特性而且容易获取。石英晶体由压电材料组成,其在经受机械振动后、在物理晶体的机械共振作用下可以稳定振荡器的频率。压电效应是石英晶体操作的关键 通过此效应可以把电信号转换成机械振动,然后再重新连接到电气系统。

石英晶体所著称的是其能够在按正确顺序连接正确组件情况下产生频率非常精确而又稳定的电信号。之所以这样是因为晶体在布局到放大器反馈网络之后可以起到调谐电路的作用。当其如图1所示连接到放大器电路时,有少量能量反馈到晶体中,导致它发生振动。这些机械振动可以稳定所产生的共振频率。这种电路则称为石英晶体振荡器。石英晶体可以建模成无源元件的组合。

3说明基本模式晶体的等效电路,其中:R1:是晶体的动生电阻,代表晶体的机械损失。放大器与外部偏置网络必须补偿其损失,以便维持顺利振荡。这种基于放大器与偏置网络的损失补偿称为振荡器电路的‘负电阻’。

C1:是动生电容,代表在振动过程中获得的电荷。

L1:是动生电感,代表晶体物质的运动。

C0:是晶体电极之间的分流电容以及支架产生的杂散电容。请注意:此仅为等效电路中的物理值,而所有其它组件均为等效组件。

1

可以从等效阻抗方程式获得此电路的共振频率表达式。从图3可以看出电路并联两条支路;第一条支路包含等效动生参数(如:Z1),而第二条支路包含物理电容(如:Z2)。总阻抗计算如下

2

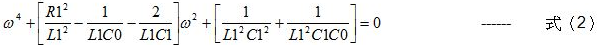
我们在求解此方程式时省略几部。我们可以调整上述方程式,以便整理分子与分母中的实部与虚部。我们可以借助共轭乘法写出Rt+jXt形式的最终表达式。对于共振,应当只有一个电阻(实际)组件,即:Xt= 0。根据上述步骤以及所采用的条件,我们可以求得下述方程式:3

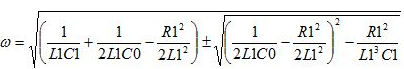
算此方程式可以得到下解:

4

对于实际的贴片晶振R1一般低于100Ω,L1的量级为mHC1fF,而C0的范围为几pF。基于上述假设,则下式通常适用于实际的晶体:

5

因此,我们可以忽略不重要的项,针对共振角频率将方程式调整为:

6

因此,我们可以获得两个共振频率 一个采用减号,其可称为串联共振频率Fs

7

请注意:串联共振频率仅取决于动态支臂的当量,因此它被称为晶体动态支臂的自然频率。在此频率时,动态支臂的感抗可以抵消其容抗,而晶体仅显示电阻性且没有任何相移。串联共振频率时的阻抗达到最小值,其几乎等于动生电阻R1。在串联共振频率,电阻器R1Z2(分流容抗)并联。不过,由于此频率时容抗极高,因此并联组合的等效电阻几乎与R1相同。因此,R1又被称为Fs时的等效串联电阻(ESR)。 采用上述式(4)中的加号可以获得另一个称为反共振频率FA的共振频率:

8

  该篇文章接着《石英晶体振荡器功能及操作》讲解,该篇文章主要讲的石英晶体振荡器的等效电路及公式,CEOB2B晶振平台是全球领先的晶振单一采购平台,站内汇集了数千万中晶振型号,各种封装尺寸,各种频点,只要您需要的,这里都给您准备好了