欢迎来到CEOB2B晶振平台

咨询热线:

0755-27839045

日产进口晶振 :
KDS晶振KDScrystal
爱普生晶振EPSONcrystal
NDK晶振NDKcrystal
京瓷晶振KyoceraCrystal
精工晶振SEIKOcrystal
西铁城晶振CITIZENcrystal
村田晶振MurataCrystal
大河晶振RiverCrystal
富士晶振FujicomCrystal
SMI晶振SMICrystal
NAKA晶振NAKACrystal
NJR晶振NJRCrystal
中国台产晶振 :
泰艺晶振TAITIENcrystal
TXC晶振TXCcrystal
鸿星晶振HOSONICcrystal
希华晶振SIWARDcrystal
加高晶振HELEcrystal
百利通亚陶晶振DiodesCrystal
嘉硕晶振TSTcrystal
津绽晶振NSKcrystal
玛居礼晶振MERCURYcrystal
应达利晶振Interquip Crystal
AKER晶振
NKG晶振NKGCrystal
欧美石英晶振 :
CTS晶振CTScrystal
微晶晶振Microcrystal
瑞康晶振RakonCrystal
康纳温菲尔德ConnorWinfield
高利奇晶振GolledgeCrystal
Jauch晶振JauchCrystal
AbraconCrystalAbraconCrystal
维管晶振VectronCrystal
ECScrystal晶振ECScrystal
日蚀晶振ECLIPTEKcrystal
拉隆晶振RaltronCrystal
格林雷晶振GreenrayCrystal
SiTimeCrystalSiTimeCrystal
IDTcrystal晶振IDTcrystal
Pletronics晶振PletronicsCrystal
StatekCrystalStatekCrystal
AEK晶振AEKCrystal
AEL晶振AELcrystal
Cardinal晶振Cardinalcrystal
Crystek晶振Crystekcrystal
Euroquartz晶振Euroquartzcrystal
福克斯晶振FOXcrystal
Frequency晶振Frequencycrystal
GEYER晶振GEYERcrystal
ILSI晶振ILSIcrystal
KVG晶振KVGcrystal
MMDCOMP晶振MMDCOMPcrystal
MtronPTI晶振MtronPTIcrystal
QANTEK晶振QANTEKcrystal
QuartzCom晶振QuartzComcrystal
QuartzChnik晶振QuartzChnikcrystal
SUNTSU晶振SUNTSUcrystal
Transko晶振Transkocrystal
WI2WI晶振WI2WIcrystal
韩国三呢晶振SUNNY Crystal
ITTI晶振ITTICrystal
Oscilent晶振OscilentCrystal
ACT晶振ACTCrystal
Lihom晶振LihomCrystal
Rubyquartz晶振RubyquartzCrystal
SHINSUNG晶振SHINSUNGCrystal
PDI晶振PDICrystal
MTI-milliren晶振MTImillirenCrystal
IQD晶振IQDCrystal
Microchip晶振MicrochipCrystal
Silicon晶振SiliconCrystal
富通晶振FortimingCrystal
科尔晶振CORECrystal
NIPPON晶振NIPPONCrystal
NIC晶振NICCrystal
QVS晶振QVSCrystal
Bomar晶振BomarCrystal
百利晶振BlileyCrystal
GED晶振GEDCrystal
菲特罗尼克斯晶振FiltroneticsCrystal
STD晶振STDCrystal
Q-Tech晶振Q-TechCrystal
安德森晶振AndersonCrystal
文泽尔晶振WenzelCrystal
耐尔晶振NELCrystal
EM晶振EMCrystal
彼得曼晶振PETERMANNCrystal
FCD-Tech晶振FCD-TechCrystal
HEC晶振HECCrystal
FMI晶振FMICrystal
麦克罗比特晶振MacrobizesCrystal
AXTAL晶振AXTALCrystal
ARGO晶振
Skyworks晶振
Renesas瑞萨晶振
Dynamic迪拉尼
有源晶振 :
石英晶体振荡器
温补晶振
压控晶振
VC-TCXO晶振
差分晶振
32.768K有源
恒温晶振
贴片晶振 :
5070晶振
6035晶振
5032晶振
3225晶振
2520晶振
2016晶振
1612晶振
1210晶振
8045晶振
32.768K晶振 :
10.4x4.0晶振
8.0x3.8晶振
7.1x3.3晶振
7.0x1.5晶振
5.0x1.8晶振
4.1x1.5晶振
3.2x1.5晶振
2.0x1.2晶振
1.6x1.0晶振
为你解决国内外知名品牌产品料号代码,查询对照

在线品牌会员

当前位置首页 » 新闻动态 » 石英晶体振荡器的设计步骤

石英晶体振荡器的设计步骤

返回列表 来源:CEOB2B晶振平台 浏览:- 发布日期:2018-04-13 09:23:13【

石英晶振等效电路:当晶体不振动时,它相当于一个平行板电容C0,称为静态电容,其值仅与晶片的尺寸有关,一般约为几pF到几十pF。由于它本身的固有振动频率很稳定,所以用它做成的振荡器,可获得很高的频率稳定度。

下图是石英晶体谐振器的等效电路。图中C0是晶体作为电介质的静电容,其数值一般为几个皮法到几十皮法。LqCqrq是对应于机械共振经压电转换而呈现的电参数。rq是机械摩擦和空气阻尼引起的损耗。由图3-1可以看出,晶体振荡器是一串并联的振荡回路,其串联谐振频率fq和并联谐振频率f0分别为 

1

WWqW> Wo时,晶体谐振器显容性;当WWqWo之间,晶体谐振器等效为一电感,而且为一数值巨大的非线性电感。由于Lq很大,即使在Wq处其电抗变化率也很大。其电抗特性曲线如图所示。实际应用中晶体工作于Wq~Wo之间的频率,因而呈现感性。

2

设计内容及要求 

 设计目的及主要任务1设计目的 

  掌握高频电子电路的基本设计能力及基本调试能力,并在此基础上设计并联变换的晶体正弦波振荡器。 

2  并联型石英晶体振荡器                       

3

4

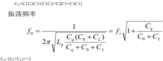
        C3用来微调电路的振荡频率,使其工作在晶振的标称频率上,C1C2C3串联组成石英晶体谐振器的负载电容CL上,其值为  

5

   详细设计步骤 

1 电路的选择 

晶体振荡电路中,与一般LC振荡器的振荡原理相同,只是把贴片晶振置于反馈网络的振荡电路之中,作为一感性元件,与其他回路元件一起按照三端电路的基本准则组成三端振荡器。根据实际常用的两种类型,电感三点式和电容三点式。

由于石英晶体存在感性和容性之分,且在感性容性之间有一条极陡峭的感抗曲线,而振荡器又被限定在此频率范围内工作。该电抗曲线对频率有极大的变化速度,亦即石英晶体在这频率范围内具有极陡峭的相频特性曲线。所以它具有很高的稳频能力,或者说具有很高的电感补偿能力。因此选用c-b型皮尔斯电路进行制作。