欢迎来到CEOB2B晶振平台

咨询热线:

0755-27839045

日产进口晶振 :
KDS晶振KDScrystal
爱普生晶振EPSONcrystal
NDK晶振NDKcrystal
京瓷晶振KyoceraCrystal
精工晶振SEIKOcrystal
西铁城晶振CITIZENcrystal
村田晶振MurataCrystal
大河晶振RiverCrystal
富士晶振FujicomCrystal
SMI晶振SMICrystal
NAKA晶振NAKACrystal
NJR晶振NJRCrystal
中国台产晶振 :
泰艺晶振TAITIENcrystal
TXC晶振TXCcrystal
鸿星晶振HOSONICcrystal
希华晶振SIWARDcrystal
加高晶振HELEcrystal
百利通亚陶晶振DiodesCrystal
嘉硕晶振TSTcrystal
津绽晶振NSKcrystal
玛居礼晶振MERCURYcrystal
应达利晶振Interquip Crystal
AKER晶振
NKG晶振NKGCrystal
欧美石英晶振 :
CTS晶振CTScrystal
微晶晶振Microcrystal
瑞康晶振RakonCrystal
康纳温菲尔德ConnorWinfield
高利奇晶振GolledgeCrystal
Jauch晶振JauchCrystal
AbraconCrystalAbraconCrystal
维管晶振VectronCrystal
ECScrystal晶振ECScrystal
日蚀晶振ECLIPTEKcrystal
拉隆晶振RaltronCrystal
格林雷晶振GreenrayCrystal
SiTimeCrystalSiTimeCrystal
IDTcrystal晶振IDTcrystal
Pletronics晶振PletronicsCrystal
StatekCrystalStatekCrystal
AEK晶振AEKCrystal
AEL晶振AELcrystal
Cardinal晶振Cardinalcrystal
Crystek晶振Crystekcrystal
Euroquartz晶振Euroquartzcrystal
福克斯晶振FOXcrystal
Frequency晶振Frequencycrystal
GEYER晶振GEYERcrystal
ILSI晶振ILSIcrystal
KVG晶振KVGcrystal
MMDCOMP晶振MMDCOMPcrystal
MtronPTI晶振MtronPTIcrystal
QANTEK晶振QANTEKcrystal
QuartzCom晶振QuartzComcrystal
QuartzChnik晶振QuartzChnikcrystal
SUNTSU晶振SUNTSUcrystal
Transko晶振Transkocrystal
WI2WI晶振WI2WIcrystal
韩国三呢晶振SUNNY Crystal
ITTI晶振ITTICrystal
Oscilent晶振OscilentCrystal
ACT晶振ACTCrystal
Lihom晶振LihomCrystal
Rubyquartz晶振RubyquartzCrystal
SHINSUNG晶振SHINSUNGCrystal
PDI晶振PDICrystal
MTI-milliren晶振MTImillirenCrystal
IQD晶振IQDCrystal
Microchip晶振MicrochipCrystal
Silicon晶振SiliconCrystal
富通晶振FortimingCrystal
科尔晶振CORECrystal
NIPPON晶振NIPPONCrystal
NIC晶振NICCrystal
QVS晶振QVSCrystal
Bomar晶振BomarCrystal
百利晶振BlileyCrystal
GED晶振GEDCrystal
菲特罗尼克斯晶振FiltroneticsCrystal
STD晶振STDCrystal
Q-Tech晶振Q-TechCrystal
安德森晶振AndersonCrystal
文泽尔晶振WenzelCrystal
耐尔晶振NELCrystal
EM晶振EMCrystal
彼得曼晶振PETERMANNCrystal
FCD-Tech晶振FCD-TechCrystal
HEC晶振HECCrystal
FMI晶振FMICrystal
麦克罗比特晶振MacrobizesCrystal
AXTAL晶振AXTALCrystal
ARGO晶振
Skyworks晶振
Renesas瑞萨晶振
Dynamic迪拉尼
有源晶振 :
石英晶体振荡器
温补晶振
压控晶振
VC-TCXO晶振
差分晶振
32.768K有源
恒温晶振
贴片晶振 :
5070晶振
6035晶振
5032晶振
3225晶振
2520晶振
2016晶振
1612晶振
1210晶振
8045晶振
32.768K晶振 :
10.4x4.0晶振
8.0x3.8晶振
7.1x3.3晶振
7.0x1.5晶振
5.0x1.8晶振
4.1x1.5晶振
3.2x1.5晶振
2.0x1.2晶振
1.6x1.0晶振
为你解决国内外知名品牌产品料号代码,查询对照

在线品牌会员

当前位置首页 » 新闻动态 » 石英晶体谐振器的结构示意图及特点

石英晶体谐振器的结构示意图及特点

返回列表 来源:CEOB2B晶振平台 浏览:- 发布日期:2018-04-08 08:43:38【

石英晶体振荡器是利用具有压电效应的石英晶体片制成的,作用是提供系统振荡脉冲,稳定频率,选择频率.

石英晶体薄片受到外加交变电场的作用时会产生机械振动,当交变电场的频率与石英晶体的固有频率相同时,振动便变得很强烈,这就是晶体谐振特性的反应。利用这种特性,就可以用石英晶体谐振器取代LC(线圈和电容)谐振回路、滤波器等。由于石英谐振器具有体积小、重量轻、可靠性高、频率稳定度高等优点,被应用于家用电器和通信设备中。

一、石英晶体的特点    

将二氧化硅(SiO2)结晶体按一定的方向切割成很薄的晶片, 再将晶片两个对应的表面抛光和涂敷银层, 并作为两个极引出管脚, 加以封装, 就构成石英晶体谐振器。 其结构示意图和符号如右图所示。


1

    1.压电效应和压电振荡    

  在石英晶振两个管脚加交变电场时, 它将会产有利于一定频率的机械变形, 而这种机械振动又会产生交变电场,上述物理现象称为压电效应。一般情况下, 无论是机械振动的振幅, 还是交变电场的振幅都非常小。但是, 当交变电场的频率为某一特定值时, 振幅骤然增大, 产生共振,称之为压电振荡。这一特定频率就是石英晶体的固有频率, 也称谐振频率。  

2.石英晶体的等效电路和振荡频率    

石英晶体的等效电路如下图(a)所示。 当石英晶体不振动时, 可等效为一个平板电容C0, 称为静态电容;其值决定于晶片的几何尺寸和电极面积, 一般约为几到几十皮法。 晶振晶片产生振动时, 机械振动的惯性等效为电感L, 其值为几毫亨。 晶片的弹性等效为电容C, 其值仅为0.010.1pF, 因此, C<0 晶片的磨擦损耗等效为电阻R, 其值约为100Ω, 理想情况下R=0

2

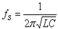
当等效电路中的LCR支路产生串联谐振时, 该支路呈纯阻性, 等效电阻为R, 谐振频率

3

谐振频率下整个网络的电抗等于R并联C0的容抗, R<<ω0C0, 故可近似认为石英晶体也呈纯阻性, 等效电阻为R   f, C0C电抗较大, 起主导作用, 石英晶体呈容性。  f>fs, LCR支路呈感性, 将与C0产生并联谐振, 石英晶体又呈纯阻性, 谐振频率

4

由于C<0, 所以fPfS

当f>fP时, 电抗主要决定于C0, 石英晶体又呈容性。 因此, 石英晶体电抗的频率特性如上图所示, 只有在fs     

5

由于C和R的数值都很小, L数值很大, 所以Q值高达104~106。 频率稳定度Δf/f0可达10-6~10-8, 采用稳频措施后可达10-10~10-11。 而LC振荡器的Q值只能达到几百, 频率稳定度只能达到10-5。   

二、石英晶体正弦波振荡电路  

1.并联型石英晶体正弦波振荡电路   如果用石英晶体取代LC振荡电路中的电感, 就得到并联型石英晶体正弦波振荡电路, 如左下图所示, 电路的振荡频率等于石英晶体的并联谐振频率。

贴片晶振的某些电介质施加机械力而引起它们内部正负电荷中心相对位移,产生极化,从而导致介质两端表面内出现符号相反的束缚电荷.在一定应力范围内,机械力与电荷呈线性可逆关系.这种现象称为压电效应.

6