欢迎来到CEOB2B晶振平台

咨询热线:

0755-27839045

日产进口晶振 :
KDS晶振KDScrystal
爱普生晶振EPSONcrystal
NDK晶振NDKcrystal
京瓷晶振KyoceraCrystal
精工晶振SEIKOcrystal
西铁城晶振CITIZENcrystal
村田晶振MurataCrystal
大河晶振RiverCrystal
富士晶振FujicomCrystal
SMI晶振SMICrystal
NAKA晶振NAKACrystal
NJR晶振NJRCrystal
中国台产晶振 :
泰艺晶振TAITIENcrystal
TXC晶振TXCcrystal
鸿星晶振HOSONICcrystal
希华晶振SIWARDcrystal
加高晶振HELEcrystal
百利通亚陶晶振DiodesCrystal
嘉硕晶振TSTcrystal
津绽晶振NSKcrystal
玛居礼晶振MERCURYcrystal
应达利晶振Interquip Crystal
AKER晶振
NKG晶振NKGCrystal
欧美石英晶振 :
CTS晶振CTScrystal
微晶晶振Microcrystal
瑞康晶振RakonCrystal
康纳温菲尔德ConnorWinfield
高利奇晶振GolledgeCrystal
Jauch晶振JauchCrystal
AbraconCrystalAbraconCrystal
维管晶振VectronCrystal
ECScrystal晶振ECScrystal
日蚀晶振ECLIPTEKcrystal
拉隆晶振RaltronCrystal
格林雷晶振GreenrayCrystal
SiTimeCrystalSiTimeCrystal
IDTcrystal晶振IDTcrystal
Pletronics晶振PletronicsCrystal
StatekCrystalStatekCrystal
AEK晶振AEKCrystal
AEL晶振AELcrystal
Cardinal晶振Cardinalcrystal
Crystek晶振Crystekcrystal
Euroquartz晶振Euroquartzcrystal
福克斯晶振FOXcrystal
Frequency晶振Frequencycrystal
GEYER晶振GEYERcrystal
ILSI晶振ILSIcrystal
KVG晶振KVGcrystal
MMDCOMP晶振MMDCOMPcrystal
MtronPTI晶振MtronPTIcrystal
QANTEK晶振QANTEKcrystal
QuartzCom晶振QuartzComcrystal
QuartzChnik晶振QuartzChnikcrystal
SUNTSU晶振SUNTSUcrystal
Transko晶振Transkocrystal
WI2WI晶振WI2WIcrystal
韩国三呢晶振SUNNY Crystal
ITTI晶振ITTICrystal
Oscilent晶振OscilentCrystal
ACT晶振ACTCrystal
Lihom晶振LihomCrystal
Rubyquartz晶振RubyquartzCrystal
SHINSUNG晶振SHINSUNGCrystal
PDI晶振PDICrystal
MTI-milliren晶振MTImillirenCrystal
IQD晶振IQDCrystal
Microchip晶振MicrochipCrystal
Silicon晶振SiliconCrystal
富通晶振FortimingCrystal
科尔晶振CORECrystal
NIPPON晶振NIPPONCrystal
NIC晶振NICCrystal
QVS晶振QVSCrystal
Bomar晶振BomarCrystal
百利晶振BlileyCrystal
GED晶振GEDCrystal
菲特罗尼克斯晶振FiltroneticsCrystal
STD晶振STDCrystal
Q-Tech晶振Q-TechCrystal
安德森晶振AndersonCrystal
文泽尔晶振WenzelCrystal
耐尔晶振NELCrystal
EM晶振EMCrystal
彼得曼晶振PETERMANNCrystal
FCD-Tech晶振FCD-TechCrystal
HEC晶振HECCrystal
FMI晶振FMICrystal
麦克罗比特晶振MacrobizesCrystal
AXTAL晶振AXTALCrystal
ARGO晶振
Skyworks晶振
Renesas瑞萨晶振
Dynamic迪拉尼
有源晶振 :
石英晶体振荡器
温补晶振
压控晶振
VC-TCXO晶振
差分晶振
32.768K有源
恒温晶振
贴片晶振 :
5070晶振
6035晶振
5032晶振
3225晶振
2520晶振
2016晶振
1612晶振
1210晶振
8045晶振
32.768K晶振 :
10.4x4.0晶振
8.0x3.8晶振
7.1x3.3晶振
7.0x1.5晶振
5.0x1.8晶振
4.1x1.5晶振
3.2x1.5晶振
2.0x1.2晶振
1.6x1.0晶振
为你解决国内外知名品牌产品料号代码,查询对照

在线品牌会员

当前位置首页 » 新闻动态 » 晶振的频率各项技术指标公式

晶振的频率各项技术指标公式

返回列表 来源:CEOB2B晶振平台 浏览:- 发布日期:2018-04-11 09:22:43【

紧跟着上个《晶振的频率标准类型及技术指标指导》继续讲解,现在主要讲解关于频率标准的定义以及准确度等的一些公式。

1.频率标准的定义

频率标准是指能给出较高准确度的单一频率值的正弦波形振荡信号的装置,其频率值大都是1510MHz,频率标准有时也简称频标。衡量频率标准的主要指标是频率准确度和稳定度。实用的频率标准由高稳石英晶体振荡器和原子频率标准2大类。   

2. 频率准确度    

是指频率的实际值相对于标称值的相对偏差

1

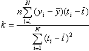
3. 频率漂移(老化率)    

频率值随时间呈单方向的变化,称为频率漂移或老化。近似描述频率老化特性的直线用最小二乘法计算,具体测定时,需要用一台老化率比被测频标小一个数量级的频标作为参考,如检定石英晶振频标时用铷原子频标或铯原子频标作为参考,检定铷原子频标时用铯原子频标。  老化率计算公式

2

4. 频率稳定度    

描述输出频率受噪声影响而产生随机起伏程度的量,数学表征用Allan(阿伦)方差的平方根值。阿伦方差计算公式:采样间隔为 ,测量m+1个数。

3

5. 相位噪声    

频率稳定度在频域特性的表征用相位噪声表征。用单边带内的功率来描述频率的不稳定情况,称为相位噪声。用符号£(f)表示,f偏离载频的频率值,具体定义为:£(f)=偏离载频f1Hz单位频带平均功率/载频功率   

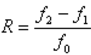
6. 频率重现性    

频标多次开机使用时,频率保持一致性的能力。计算公式为

4

 f1为频标关机前的频率值;f2为频标关机冷却后再开机到稳定工作的频率值;f0为标称频率值。由于频标通常都有良好的恒温装置,因此通常冷却时间为24小时。重现性这一指标都是对原子频标而言的,因为贴片晶振受其机理限制,其重现能力较差。

CEOB2B晶振平台是全球最全最优的晶振采购平台,在这里你可以查询到海内外各项产品,还提供免费推广,被各搜索引擎收录,精准客户需求,提升企业曝光率。