欢迎来到CEOB2B晶振平台

咨询热线:

0755-27839045

日产进口晶振 :
KDS晶振KDScrystal
爱普生晶振EPSONcrystal
NDK晶振NDKcrystal
京瓷晶振KyoceraCrystal
精工晶振SEIKOcrystal
西铁城晶振CITIZENcrystal
村田晶振MurataCrystal
大河晶振RiverCrystal
富士晶振FujicomCrystal
SMI晶振SMICrystal
NAKA晶振NAKACrystal
NJR晶振NJRCrystal
中国台产晶振 :
泰艺晶振TAITIENcrystal
TXC晶振TXCcrystal
鸿星晶振HOSONICcrystal
希华晶振SIWARDcrystal
加高晶振HELEcrystal
百利通亚陶晶振DiodesCrystal
嘉硕晶振TSTcrystal
津绽晶振NSKcrystal
玛居礼晶振MERCURYcrystal
应达利晶振Interquip Crystal
AKER晶振
NKG晶振NKGCrystal
欧美石英晶振 :
CTS晶振CTScrystal
微晶晶振Microcrystal
瑞康晶振RakonCrystal
康纳温菲尔德ConnorWinfield
高利奇晶振GolledgeCrystal
Jauch晶振JauchCrystal
AbraconCrystalAbraconCrystal
维管晶振VectronCrystal
ECScrystal晶振ECScrystal
日蚀晶振ECLIPTEKcrystal
拉隆晶振RaltronCrystal
格林雷晶振GreenrayCrystal
SiTimeCrystalSiTimeCrystal
IDTcrystal晶振IDTcrystal
Pletronics晶振PletronicsCrystal
StatekCrystalStatekCrystal
AEK晶振AEKCrystal
AEL晶振AELcrystal
Cardinal晶振Cardinalcrystal
Crystek晶振Crystekcrystal
Euroquartz晶振Euroquartzcrystal
福克斯晶振FOXcrystal
Frequency晶振Frequencycrystal
GEYER晶振GEYERcrystal
ILSI晶振ILSIcrystal
KVG晶振KVGcrystal
MMDCOMP晶振MMDCOMPcrystal
MtronPTI晶振MtronPTIcrystal
QANTEK晶振QANTEKcrystal
QuartzCom晶振QuartzComcrystal
QuartzChnik晶振QuartzChnikcrystal
SUNTSU晶振SUNTSUcrystal
Transko晶振Transkocrystal
WI2WI晶振WI2WIcrystal
韩国三呢晶振SUNNY Crystal
ITTI晶振ITTICrystal
Oscilent晶振OscilentCrystal
ACT晶振ACTCrystal
Lihom晶振LihomCrystal
Rubyquartz晶振RubyquartzCrystal
SHINSUNG晶振SHINSUNGCrystal
PDI晶振PDICrystal
MTI-milliren晶振MTImillirenCrystal
IQD晶振IQDCrystal
Microchip晶振MicrochipCrystal
Silicon晶振SiliconCrystal
富通晶振FortimingCrystal
科尔晶振CORECrystal
NIPPON晶振NIPPONCrystal
NIC晶振NICCrystal
QVS晶振QVSCrystal
Bomar晶振BomarCrystal
百利晶振BlileyCrystal
GED晶振GEDCrystal
菲特罗尼克斯晶振FiltroneticsCrystal
STD晶振STDCrystal
Q-Tech晶振Q-TechCrystal
安德森晶振AndersonCrystal
文泽尔晶振WenzelCrystal
耐尔晶振NELCrystal
EM晶振EMCrystal
彼得曼晶振PETERMANNCrystal
FCD-Tech晶振FCD-TechCrystal
HEC晶振HECCrystal
FMI晶振FMICrystal
麦克罗比特晶振MacrobizesCrystal
AXTAL晶振AXTALCrystal
ARGO晶振
Skyworks晶振
Renesas瑞萨晶振
Dynamic迪拉尼
有源晶振 :
石英晶体振荡器
温补晶振
压控晶振
VC-TCXO晶振
差分晶振
32.768K有源
恒温晶振
贴片晶振 :
5070晶振
6035晶振
5032晶振
3225晶振
2520晶振
2016晶振
1612晶振
1210晶振
8045晶振
32.768K晶振 :
10.4x4.0晶振
8.0x3.8晶振
7.1x3.3晶振
7.0x1.5晶振
5.0x1.8晶振
4.1x1.5晶振
3.2x1.5晶振
2.0x1.2晶振
1.6x1.0晶振
为你解决国内外知名品牌产品料号代码,查询对照

在线品牌会员

当前位置首页 » 关于我们 » 压电石英晶体技术资料 » 恒温晶振GPS接收机部分和定位及校频原理

恒温晶振GPS接收机部分和定位及校频原理

返回列表 来源:CEOB2B晶振平台 浏览:- 发布日期:2018-02-28 10:47:38【

GPS是一种全球定位导航系统,一般可用于人造卫星,飞机,汽车,军事设备,测绘,智能手机,轮船等产品身上。GPS导航定位系统基本上都会要用到恒温晶振,来保持自身的温度恒定,避免因周围温度变化而发生故障。
3.GPS
用户接收机部分
  用户设备主要是各类GPS接收机及其它必要的辅助设备(GPS信号模拟器)GPS信号接收机能够捕获到一定卫星高度截止角所选择的待测卫星信号,并跟踪这些卫星的运行,对所接收到的GPS信号进行变换、放大和处理,以便测量出GPS信号从卫星到接收机天线的传播时间,很方便的获得GPS提供的时间信息、位置信息、速度信息等。GPS接收机输出的时间信息包括串行口输出的年、月、日、时、分、秒和频率为1Hz的秒脉冲(PPS)。其中,普通接收机收到的1PPS的上升沿与国际标准时间(UTC的统计误差为lps。目前GPS信号的频率稳定度达到103/d,它能使测定卫星的轨道精度优于1m。因此,使用锁定于卫星的GPS接收机可为用户提供非常准确,廉价的,可追踪的时间信息。
2.1.2GPS
系统定位与校频原理
  GPS
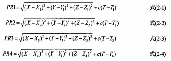
是利用到达时间TOA( Time of arrival)测距原理确定用户接收机位置和授时的,这种原理是让已知位置的信号源定时发出信号,接收机则记下信号到达的时间。如果采用了有源晶振的信号源的时钟和接收机的时钟是完全同步的,则只要将信号的转播速度乘以信号的转播时间就可求出信号源到接收机之间的距离。事实上,接收机和信号源的时钟不可避免地会有偏差,所以,上述计算得到的距离是不真实的,故称为“伪距”山。在实际应用时,要设法消除这种偏差,求出真实距离。GPS利用4颗卫星的TOA来确定用户接收机位置的3维坐标和接收机的时钟偏差。假在T时刻用GPS接收机同时测得P点至四颗卫星的距离分别为PR1PR2PR3PR4,如图2.3所示

gpsdwdsyl1

伪距测量值包括卫星与GPS接收机之间的真实距离、卫星钟差引起的误差、大气延时误差、相对论误差、接收机钟差引起的误差和接收机噪声引起的误差。四颗卫星的三维坐标为(X,y,Z),i=12,34。求解P点的三维坐标(X,F,Z)和时间T的方程如下:

gpsdwdsyl2

其中T,i=1,2,34为各卫星时间,T为用户接收机的时间,c为光速。由上面的方程组就能解得接收机所处的三维位置和接收机的钟差。可见只要GPS接收机能够接收到四颗或者多于四颗GPS卫星信号,就能够准确地进行定位和授时,这就是GPS定位、授时的基本原理。