欢迎来到CEOB2B晶振平台

咨询热线:

0755-27839045

日产进口晶振 :
KDS晶振KDScrystal
爱普生晶振EPSONcrystal
NDK晶振NDKcrystal
京瓷晶振KyoceraCrystal
精工晶振SEIKOcrystal
西铁城晶振CITIZENcrystal
村田晶振MurataCrystal
大河晶振RiverCrystal
富士晶振FujicomCrystal
SMI晶振SMICrystal
NAKA晶振NAKACrystal
NJR晶振NJRCrystal
中国台产晶振 :
泰艺晶振TAITIENcrystal
TXC晶振TXCcrystal
鸿星晶振HOSONICcrystal
希华晶振SIWARDcrystal
加高晶振HELEcrystal
百利通亚陶晶振DiodesCrystal
嘉硕晶振TSTcrystal
津绽晶振NSKcrystal
玛居礼晶振MERCURYcrystal
应达利晶振Interquip Crystal
AKER晶振
NKG晶振NKGCrystal
欧美石英晶振 :
CTS晶振CTScrystal
微晶晶振Microcrystal
瑞康晶振RakonCrystal
康纳温菲尔德ConnorWinfield
高利奇晶振GolledgeCrystal
Jauch晶振JauchCrystal
AbraconCrystalAbraconCrystal
维管晶振VectronCrystal
ECScrystal晶振ECScrystal
日蚀晶振ECLIPTEKcrystal
拉隆晶振RaltronCrystal
格林雷晶振GreenrayCrystal
SiTimeCrystalSiTimeCrystal
IDTcrystal晶振IDTcrystal
Pletronics晶振PletronicsCrystal
StatekCrystalStatekCrystal
AEK晶振AEKCrystal
AEL晶振AELcrystal
Cardinal晶振Cardinalcrystal
Crystek晶振Crystekcrystal
Euroquartz晶振Euroquartzcrystal
福克斯晶振FOXcrystal
Frequency晶振Frequencycrystal
GEYER晶振GEYERcrystal
ILSI晶振ILSIcrystal
KVG晶振KVGcrystal
MMDCOMP晶振MMDCOMPcrystal
MtronPTI晶振MtronPTIcrystal
QANTEK晶振QANTEKcrystal
QuartzCom晶振QuartzComcrystal
QuartzChnik晶振QuartzChnikcrystal
SUNTSU晶振SUNTSUcrystal
Transko晶振Transkocrystal
WI2WI晶振WI2WIcrystal
韩国三呢晶振SUNNY Crystal
ITTI晶振ITTICrystal
Oscilent晶振OscilentCrystal
ACT晶振ACTCrystal
Lihom晶振LihomCrystal
Rubyquartz晶振RubyquartzCrystal
SHINSUNG晶振SHINSUNGCrystal
PDI晶振PDICrystal
MTI-milliren晶振MTImillirenCrystal
IQD晶振IQDCrystal
Microchip晶振MicrochipCrystal
Silicon晶振SiliconCrystal
富通晶振FortimingCrystal
科尔晶振CORECrystal
NIPPON晶振NIPPONCrystal
NIC晶振NICCrystal
QVS晶振QVSCrystal
Bomar晶振BomarCrystal
百利晶振BlileyCrystal
GED晶振GEDCrystal
菲特罗尼克斯晶振FiltroneticsCrystal
STD晶振STDCrystal
Q-Tech晶振Q-TechCrystal
安德森晶振AndersonCrystal
文泽尔晶振WenzelCrystal
耐尔晶振NELCrystal
EM晶振EMCrystal
彼得曼晶振PETERMANNCrystal
FCD-Tech晶振FCD-TechCrystal
HEC晶振HECCrystal
FMI晶振FMICrystal
麦克罗比特晶振MacrobizesCrystal
AXTAL晶振AXTALCrystal
ARGO晶振
Skyworks晶振
Renesas瑞萨晶振
Dynamic迪拉尼
有源晶振 :
石英晶体振荡器
温补晶振
压控晶振
VC-TCXO晶振
差分晶振
32.768K有源
恒温晶振
贴片晶振 :
5070晶振
6035晶振
5032晶振
3225晶振
2520晶振
2016晶振
1612晶振
1210晶振
8045晶振
32.768K晶振 :
10.4x4.0晶振
8.0x3.8晶振
7.1x3.3晶振
7.0x1.5晶振
5.0x1.8晶振
4.1x1.5晶振
3.2x1.5晶振
2.0x1.2晶振
1.6x1.0晶振
为你解决国内外知名品牌产品料号代码,查询对照

在线品牌会员

当前位置首页 » 新闻动态 » 传感器晶振的工作原理

传感器晶振的工作原理

返回列表 来源:CEOB2B晶振平台 浏览:- 发布日期:2018-05-29 11:02:20【

对于某些切型的压电石英晶体,利用其温度-频率特性做成传感器,可将温度的变化转换为频率调制型信号;而该信号在传送与接收过程中,有很好的抗干扰能力,可实现遥测与遥控,易于用数字式仪器测量,易于与单片机、计算机连接,据此就可以做成满足要求的数字温度计。根据不同的频率和切型,石英晶体温度传感器的温度灵敏度可以在20Hz/℃至2850Hz/℃范围内变动,使温度分辨力达1×10-4℃,而且温漂、时漂极小。 

石英晶振在振荡电路激励下,会产生各种形式的机械振动。晶片的厚度剪切振荡如图4所示,其振荡频率为:

CGQJZ1

式中,n:泛音次数,h:晶片厚度,v:剪切波的速度,ρ:石英晶体密度,μ:高精度晶振弹性系数;其中h,ρ,μ都是温度的函数,这样,频率f就成为温度t的隐函数f(t)。   

实验表明,对任何一种石英谐振器,其温度-频率特性f(t)是一条二次或三次抛物线或直线;在-200~+200℃内,在足够的精度下,贴片石英晶振的频率特性可用三次多项式表示:

CGQJZ2

这就是压电石英晶体谐振器的温度敏感特性,式中,0f为在任意参考温度0t℃时的频率;a、b、c分别为一、二、三阶频率温度系数,与晶片的切割类型及振型有关。作为温度传感器,为了保证较高的灵敏度以及温度-频率特性有良好的线性,a值要大,且远大于b和c的值(最好有b=c=0),但实际生产的晶片中二者不可兼得。目前,对于旋转Y切型YXL+5°,有a=95.6×10-6/℃(f=10MHz),分辨率达万分之几度;Ys切型:a=80×10-6/℃(f=5MHz,n=3),分辨率高达4×10-6/℃;NL切型线性度很好,其系数a=63.5×10-6/℃,b=-18.1×10-9/℃,c=-35.9×10-11/℃。常见石英温度传感器的主要切型、各阶温度系数及温度-频率非线性度如表1所示。      

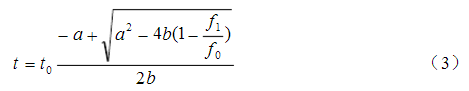
对于线性度很好的石英水晶振子,被测温度较容易测算,不再赘述;若忽略c,则可由(3)式解得温度t:

CGQJZ3

CGQJZ4

显然,当测得ft后可计算出被测温度。为不失一般性,可用简化的牛顿迭代法(3)式求解三次函数,取t=0t做第一次迭代:

CGQJZ5

这样,既减小了非线性误差,又便于单片机运算。

国内第一家大型单一电子元器件产品网络营销平台,CEOB2B晶振平台专门为广大生产工厂和企业排忧解难。我们不仅是采购首选的电商平台,更是晶振供应商和晶振厂家最好的合作伙伴,利用专业的SEO优化方法实现企业排名迅速上升,带来更多的商机。聚焦上百家海外进口晶振品牌代理商,超过上万款型号可供顾客选择,没有你找不到的晶振,只有想不到的。

推荐阅读

    【本文标签】:传感器晶振 压电石英晶体谐振器
    【责任编辑】:CEOB2B晶振平台版权所有:http://www.jingzhen95.com转载请注明出处