欢迎来到CEOB2B晶振平台

咨询热线:

0755-27839045

日产进口晶振 :
KDS晶振KDScrystal
爱普生晶振EPSONcrystal
NDK晶振NDKcrystal
京瓷晶振KyoceraCrystal
精工晶振SEIKOcrystal
西铁城晶振CITIZENcrystal
村田晶振MurataCrystal
大河晶振RiverCrystal
富士晶振FujicomCrystal
SMI晶振SMICrystal
NAKA晶振NAKACrystal
NJR晶振NJRCrystal
中国台产晶振 :
泰艺晶振TAITIENcrystal
TXC晶振TXCcrystal
鸿星晶振HOSONICcrystal
希华晶振SIWARDcrystal
加高晶振HELEcrystal
百利通亚陶晶振DiodesCrystal
嘉硕晶振TSTcrystal
津绽晶振NSKcrystal
玛居礼晶振MERCURYcrystal
应达利晶振Interquip Crystal
AKER晶振
NKG晶振NKGCrystal
欧美石英晶振 :
CTS晶振CTScrystal
微晶晶振Microcrystal
瑞康晶振RakonCrystal
康纳温菲尔德ConnorWinfield
高利奇晶振GolledgeCrystal
Jauch晶振JauchCrystal
AbraconCrystalAbraconCrystal
维管晶振VectronCrystal
ECScrystal晶振ECScrystal
日蚀晶振ECLIPTEKcrystal
拉隆晶振RaltronCrystal
格林雷晶振GreenrayCrystal
SiTimeCrystalSiTimeCrystal
IDTcrystal晶振IDTcrystal
Pletronics晶振PletronicsCrystal
StatekCrystalStatekCrystal
AEK晶振AEKCrystal
AEL晶振AELcrystal
Cardinal晶振Cardinalcrystal
Crystek晶振Crystekcrystal
Euroquartz晶振Euroquartzcrystal
福克斯晶振FOXcrystal
Frequency晶振Frequencycrystal
GEYER晶振GEYERcrystal
ILSI晶振ILSIcrystal
KVG晶振KVGcrystal
MMDCOMP晶振MMDCOMPcrystal
MtronPTI晶振MtronPTIcrystal
QANTEK晶振QANTEKcrystal
QuartzCom晶振QuartzComcrystal
QuartzChnik晶振QuartzChnikcrystal
SUNTSU晶振SUNTSUcrystal
Transko晶振Transkocrystal
WI2WI晶振WI2WIcrystal
韩国三呢晶振SUNNY Crystal
ITTI晶振ITTICrystal
Oscilent晶振OscilentCrystal
ACT晶振ACTCrystal
Lihom晶振LihomCrystal
Rubyquartz晶振RubyquartzCrystal
SHINSUNG晶振SHINSUNGCrystal
PDI晶振PDICrystal
MTI-milliren晶振MTImillirenCrystal
IQD晶振IQDCrystal
Microchip晶振MicrochipCrystal
Silicon晶振SiliconCrystal
富通晶振FortimingCrystal
科尔晶振CORECrystal
NIPPON晶振NIPPONCrystal
NIC晶振NICCrystal
QVS晶振QVSCrystal
Bomar晶振BomarCrystal
百利晶振BlileyCrystal
GED晶振GEDCrystal
菲特罗尼克斯晶振FiltroneticsCrystal
STD晶振STDCrystal
Q-Tech晶振Q-TechCrystal
安德森晶振AndersonCrystal
文泽尔晶振WenzelCrystal
耐尔晶振NELCrystal
EM晶振EMCrystal
彼得曼晶振PETERMANNCrystal
FCD-Tech晶振FCD-TechCrystal
HEC晶振HECCrystal
FMI晶振FMICrystal
麦克罗比特晶振MacrobizesCrystal
AXTAL晶振AXTALCrystal
ARGO晶振
Skyworks晶振
Renesas瑞萨晶振
Dynamic迪拉尼
有源晶振 :
石英晶体振荡器
温补晶振
压控晶振
VC-TCXO晶振
差分晶振
32.768K有源
恒温晶振
贴片晶振 :
5070晶振
6035晶振
5032晶振
3225晶振
2520晶振
2016晶振
1612晶振
1210晶振
8045晶振
32.768K晶振 :
10.4x4.0晶振
8.0x3.8晶振
7.1x3.3晶振
7.0x1.5晶振
5.0x1.8晶振
4.1x1.5晶振
3.2x1.5晶振
2.0x1.2晶振
1.6x1.0晶振
为你解决国内外知名品牌产品料号代码,查询对照

在线品牌会员

当前位置首页 » 关于我们 » 压电石英晶体技术资料 » AT切型石英晶体元件的频率方程和频率常数

AT切型石英晶体元件的频率方程和频率常数

返回列表 来源:CEOB2B晶振平台 浏览:- 发布日期:2018-05-12 08:49:42【

AT切型在石英晶体中的方位如图3.1.1所示。晶振晶片的长度方向与X轴平行,厚度方向与Y轴平行。它的振动模式有两种激励方法:在Y方向的电场E2作用下,通过压电常数e'26和弹性刚度常数c'66,在Z'面上产生厚度切变振动,这种激励方式称为垂直场激励;在Z'方向的电场E'3作用下,通过压电常数e'36和弹性刚度常数c'66,在乙面上产生厚度切变振动,这种激励方式称为平行场激励。由于垂直场的设置比平行场的设置方便的多,因此,生产上通常都采用垂直场的激励方法。

图3.1.1AT切型在石英晶体中的方位

在厚度远小于长度和宽度的情况下,石英晶振厚度切变振动的频率方程为:

3.1.1式

式中:

3.1.2

频率常数为:

3.1.3

还要指出:

1)式(3.1.2)(3.1.3)(3.1.4)是在厚度远小于长度和宽度的情况下得到的。具体地说,就是要满足l/t»20w/r»20,和Φ/t»60Φ为圆片直径)的条件下,这些公式才能给出较准确的结果。

2)式(3.1.1)表明,石英晶体厚度切变的泛音频率等于基频频率的奇数倍,实际情况是由于其它条件的影响,泛音频率只是接近于基频频率的奇数倍。例如,基频频率为f1=1.064091MHz的石英片,5次泛音f5=4.998122MHz;基频频率为f1=19.997280MHz的石英片,3次泛音f3=60.0005MHz

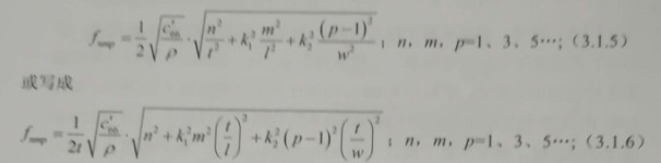
3)如果l/t»20W/t»20,或Φ/t»60Φ为圆片直径)的条件不满足,就应计入长、宽方向的影响。在此情况下,石英片的振动比较复杂。它的频率方程可表示为:

3.1.5

式中:

n一沿厚度方向的泛音次数;

m——沿长度方向的泛音次数;

p——沿宽度方向的泛音次数;

k1k2——试验确定的修正系数。

m=p=1,n=135...时,相应的频率为基频f111、三次泛音f311、五次泛音f511…。这些石英贴片晶振频率称为主谐频率。当mp等于其它整数时,相应的频率称为非谐频率,如f112f121f131f331等。

厚度切变振动的主谐模式,如图3.1.2a),(b)所示;非谐模式如图3.1.2c)(d)所示。

在一般条件下,采用减小电极面积的方法,可抑制非谐振动。如果电极大小和外形尺守选择不当,就可能出现较强的非谐振动。这是在设计石英晶体元件时应重视的问题之一。

4)当m=p=1时,频率方程(3.1.6)可简化为:

图3.1.2主谐模式和非谐模式

相应的频率常数为:

3.1.8

式(3.1.8)表明,频率常数不仅与切角Φ有关,而且与边t/l也有关。因为AT切角的变化范围很小,一般保持在Φ1 =35度的附近,所以只考虑晶振频率常数随边比的变化。矩形片Kft/l的变化关系曲线如图3.1.3所示:园片Kf随Φ/t的变化关系曲线如图3.1.4所示;从这些图形可以看出,只有当l/t>>20或Φ/t>>60时,频率常数才接近1660KHZ. Mm。此外,频率常数还与晶片外形如平凸、双凸有关。

3.1.3AT切矩形片频率常数与t关系

3.1.4AT切圆片频率常数