欢迎来到CEOB2B晶振平台

咨询热线:

0755-27839045

日产进口晶振 :
KDS晶振KDScrystal
爱普生晶振EPSONcrystal
NDK晶振NDKcrystal
京瓷晶振KyoceraCrystal
精工晶振SEIKOcrystal
西铁城晶振CITIZENcrystal
村田晶振MurataCrystal
大河晶振RiverCrystal
富士晶振FujicomCrystal
SMI晶振SMICrystal
NAKA晶振NAKACrystal
NJR晶振NJRCrystal
中国台产晶振 :
泰艺晶振TAITIENcrystal
TXC晶振TXCcrystal
鸿星晶振HOSONICcrystal
希华晶振SIWARDcrystal
加高晶振HELEcrystal
百利通亚陶晶振DiodesCrystal
嘉硕晶振TSTcrystal
津绽晶振NSKcrystal
玛居礼晶振MERCURYcrystal
应达利晶振Interquip Crystal
AKER晶振
NKG晶振NKGCrystal
欧美石英晶振 :
CTS晶振CTScrystal
微晶晶振Microcrystal
瑞康晶振RakonCrystal
康纳温菲尔德ConnorWinfield
高利奇晶振GolledgeCrystal
Jauch晶振JauchCrystal
AbraconCrystalAbraconCrystal
维管晶振VectronCrystal
ECScrystal晶振ECScrystal
日蚀晶振ECLIPTEKcrystal
拉隆晶振RaltronCrystal
格林雷晶振GreenrayCrystal
SiTimeCrystalSiTimeCrystal
IDTcrystal晶振IDTcrystal
Pletronics晶振PletronicsCrystal
StatekCrystalStatekCrystal
AEK晶振AEKCrystal
AEL晶振AELcrystal
Cardinal晶振Cardinalcrystal
Crystek晶振Crystekcrystal
Euroquartz晶振Euroquartzcrystal
福克斯晶振FOXcrystal
Frequency晶振Frequencycrystal
GEYER晶振GEYERcrystal
ILSI晶振ILSIcrystal
KVG晶振KVGcrystal
MMDCOMP晶振MMDCOMPcrystal
MtronPTI晶振MtronPTIcrystal
QANTEK晶振QANTEKcrystal
QuartzCom晶振QuartzComcrystal
QuartzChnik晶振QuartzChnikcrystal
SUNTSU晶振SUNTSUcrystal
Transko晶振Transkocrystal
WI2WI晶振WI2WIcrystal
韩国三呢晶振SUNNY Crystal
ITTI晶振ITTICrystal
Oscilent晶振OscilentCrystal
ACT晶振ACTCrystal
Lihom晶振LihomCrystal
Rubyquartz晶振RubyquartzCrystal
SHINSUNG晶振SHINSUNGCrystal
PDI晶振PDICrystal
MTI-milliren晶振MTImillirenCrystal
IQD晶振IQDCrystal
Microchip晶振MicrochipCrystal
Silicon晶振SiliconCrystal
富通晶振FortimingCrystal
科尔晶振CORECrystal
NIPPON晶振NIPPONCrystal
NIC晶振NICCrystal
QVS晶振QVSCrystal
Bomar晶振BomarCrystal
百利晶振BlileyCrystal
GED晶振GEDCrystal
菲特罗尼克斯晶振FiltroneticsCrystal
STD晶振STDCrystal
Q-Tech晶振Q-TechCrystal
安德森晶振AndersonCrystal
文泽尔晶振WenzelCrystal
耐尔晶振NELCrystal
EM晶振EMCrystal
彼得曼晶振PETERMANNCrystal
FCD-Tech晶振FCD-TechCrystal
HEC晶振HECCrystal
FMI晶振FMICrystal
麦克罗比特晶振MacrobizesCrystal
AXTAL晶振AXTALCrystal
ARGO晶振
Skyworks晶振
Renesas瑞萨晶振
Dynamic迪拉尼
有源晶振 :
石英晶体振荡器
温补晶振
压控晶振
VC-TCXO晶振
差分晶振
32.768K有源
恒温晶振
贴片晶振 :
5070晶振
6035晶振
5032晶振
3225晶振
2520晶振
2016晶振
1612晶振
1210晶振
8045晶振
32.768K晶振 :
10.4x4.0晶振
8.0x3.8晶振
7.1x3.3晶振
7.0x1.5晶振
5.0x1.8晶振
4.1x1.5晶振
3.2x1.5晶振
2.0x1.2晶振
1.6x1.0晶振
为你解决国内外知名品牌产品料号代码,查询对照

在线品牌会员

当前位置首页 » 关于我们 » 压电石英晶体技术资料 » AT切型矩形石英晶振片的设计

AT切型矩形石英晶振片的设计

返回列表 来源:CEOB2B晶振平台 浏览:- 发布日期:2018-05-17 09:02:13【

如前所述AT切型圆形片具有很多优点,并有很广泛的应用。但是,AT切型矩形石英晶振片在低频段具有很高的活力,加工也比较方便,在1000KHz~6000KHz频率范围内经常被采用。

AT切型矩形石英片的设计主要是如何选择石英片的长、宽尺寸的问题。长宽选择不当,就会引起其它振动模式的耦合作用。例如与y面切变耦合或与xy弯曲振动耦合等。这些振动如果与主振动发生强耦合作用,晶体元件性能就将恶化,甚至在某些温度点上造成停振。

AT切型矩形石英片的长度与xy’弯曲振动频率的关系式为:

3.5.1

式中:

l—沿X方向的长度(mm):

n—每泛音次数;

Kf—弯曲振动频率常数;

n等于偶数时,与主振动发生强耦合作用。当l/t>20,Kf=1380 KHZ. mn,图3.5.1给出了弯曲振动频率常数Kfl/t变化的关系曲线,供设计时参考。

AT切型矩形石英晶振片的长度和宽度与y面切变振动频率的关系式为:

3.5.2

式中:

(f)l—与长度有关的面切变频率;

(f)w—与宽度有关的面切变频率;

ny’面切变振动的泛音次数。

n等于奇数时,与主振动发生强耦合作用。

选择矩形石英晶振片的长度和宽度时,应避开式(3.5.2)和式(3.5.3)所确定的长、宽值。

3.5.1玩去振动频率

3.5.1弯曲振动频率常数Kfl/t的关系

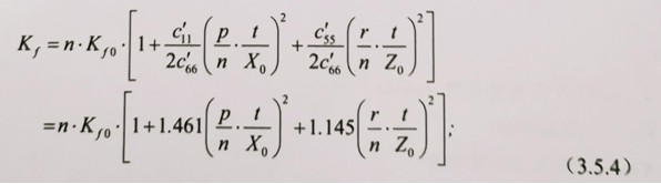
短矩形平面石英片的频率常数Kf:

3.5.4

式中:

Kf—无限大平板的频率常数=1660 KHZ. mm;

n—泛音次数;

t—石英片厚度(mm)

C11C66C55—弹性刚度常数;

pX轴方向的泛音次数;

rZ轴方向的泛音次数;

X0Z0分别表示X轴与Z轴方向的尺寸。

正方形的板状振动体,当p=r次数相同时,厚度切变基波的振荡频率为:

3.5.5

例如当t=0.100mmX0=8.000mm,Z0=2.000mm时:

K

从式(3.5.6)可以看出,当石英晶振片长度远大于厚度时,频率常数接近于1660KHZ.mm,矩形石英片的频率常数Kfl/t的关系曲线见图3.1.3