欢迎来到CEOB2B晶振平台

咨询热线:

0755-27839045

日产进口晶振 :
KDS晶振KDScrystal
爱普生晶振EPSONcrystal
NDK晶振NDKcrystal
京瓷晶振KyoceraCrystal
精工晶振SEIKOcrystal
西铁城晶振CITIZENcrystal
村田晶振MurataCrystal
大河晶振RiverCrystal
富士晶振FujicomCrystal
SMI晶振SMICrystal
NAKA晶振NAKACrystal
NJR晶振NJRCrystal
中国台产晶振 :
泰艺晶振TAITIENcrystal
TXC晶振TXCcrystal
鸿星晶振HOSONICcrystal
希华晶振SIWARDcrystal
加高晶振HELEcrystal
百利通亚陶晶振DiodesCrystal
嘉硕晶振TSTcrystal
津绽晶振NSKcrystal
玛居礼晶振MERCURYcrystal
应达利晶振Interquip Crystal
AKER晶振
NKG晶振NKGCrystal
欧美石英晶振 :
CTS晶振CTScrystal
微晶晶振Microcrystal
瑞康晶振RakonCrystal
康纳温菲尔德ConnorWinfield
高利奇晶振GolledgeCrystal
Jauch晶振JauchCrystal
AbraconCrystalAbraconCrystal
维管晶振VectronCrystal
ECScrystal晶振ECScrystal
日蚀晶振ECLIPTEKcrystal
拉隆晶振RaltronCrystal
格林雷晶振GreenrayCrystal
SiTimeCrystalSiTimeCrystal
IDTcrystal晶振IDTcrystal
Pletronics晶振PletronicsCrystal
StatekCrystalStatekCrystal
AEK晶振AEKCrystal
AEL晶振AELcrystal
Cardinal晶振Cardinalcrystal
Crystek晶振Crystekcrystal
Euroquartz晶振Euroquartzcrystal
福克斯晶振FOXcrystal
Frequency晶振Frequencycrystal
GEYER晶振GEYERcrystal
ILSI晶振ILSIcrystal
KVG晶振KVGcrystal
MMDCOMP晶振MMDCOMPcrystal
MtronPTI晶振MtronPTIcrystal
QANTEK晶振QANTEKcrystal
QuartzCom晶振QuartzComcrystal
QuartzChnik晶振QuartzChnikcrystal
SUNTSU晶振SUNTSUcrystal
Transko晶振Transkocrystal
WI2WI晶振WI2WIcrystal
韩国三呢晶振SUNNY Crystal
ITTI晶振ITTICrystal
Oscilent晶振OscilentCrystal
ACT晶振ACTCrystal
Lihom晶振LihomCrystal
Rubyquartz晶振RubyquartzCrystal
SHINSUNG晶振SHINSUNGCrystal
PDI晶振PDICrystal
MTI-milliren晶振MTImillirenCrystal
IQD晶振IQDCrystal
Microchip晶振MicrochipCrystal
Silicon晶振SiliconCrystal
富通晶振FortimingCrystal
科尔晶振CORECrystal
NIPPON晶振NIPPONCrystal
NIC晶振NICCrystal
QVS晶振QVSCrystal
Bomar晶振BomarCrystal
百利晶振BlileyCrystal
GED晶振GEDCrystal
菲特罗尼克斯晶振FiltroneticsCrystal
STD晶振STDCrystal
Q-Tech晶振Q-TechCrystal
安德森晶振AndersonCrystal
文泽尔晶振WenzelCrystal
耐尔晶振NELCrystal
EM晶振EMCrystal
彼得曼晶振PETERMANNCrystal
FCD-Tech晶振FCD-TechCrystal
HEC晶振HECCrystal
FMI晶振FMICrystal
麦克罗比特晶振MacrobizesCrystal
AXTAL晶振AXTALCrystal
ARGO晶振
Skyworks晶振
Renesas瑞萨晶振
Dynamic迪拉尼
有源晶振 :
石英晶体振荡器
温补晶振
压控晶振
VC-TCXO晶振
差分晶振
32.768K有源
恒温晶振
贴片晶振 :
5070晶振
6035晶振
5032晶振
3225晶振
2520晶振
2016晶振
1612晶振
1210晶振
8045晶振
32.768K晶振 :
10.4x4.0晶振
8.0x3.8晶振
7.1x3.3晶振
7.0x1.5晶振
5.0x1.8晶振
4.1x1.5晶振
3.2x1.5晶振
2.0x1.2晶振
1.6x1.0晶振
为你解决国内外知名品牌产品料号代码,查询对照

在线品牌会员

当前位置首页 » 关于我们 » 压电石英晶体技术资料 » 32.768K晶振样品测量模式

32.768K晶振样品测量模式

返回列表 来源:CEOB2B晶振平台 浏览:- 发布日期:2018-03-12 11:26:17【

音叉晶振基本上指的就是32.768K晶振,还包含其他的KHZ,但相对应用较少,科学家刚开始研究晶体里,首先被研发的就是KHZ的插件晶振,而后才慢慢发展成贴片晶振,最后就是MHZ和GHZ了,在市场32.768K的音叉表晶仍然占有不小的份额。
  为了获得晶振在与样品表面相接近时的谐振特性的变化,在我们实验室的微动工作台上进行了32.768K圆柱晶振逼近样品表面时音叉振动幅值的变化试验。在试验中,音叉被固定在工作台上,直接测量音叉的振动幅值比较困难可以用起振电路的电压幅值来间接表示,所以试验中从起振电路中提取电图2.6音又逼近试件的试验压幅值之后进行显示。工作台有两级调节功能,细调精度可以达到微米级,工作台的位移使用电容测微仪来测量,实验是在常温下进行的。实验时,采用手工调节的方法,将音叉粗调至与圆柱晶振样品非常接近的距离,然后调节细调旋钮,并观察电压幅值的变化,当电压发生变化时开始纪录工作台的位移,这样就可以获得电压一幅值变化曲线,如图2.7。

768K1

从图中可以看出,当音叉逼近样品的距离小于100um时,电压的幅值就会有显著的变化,逼近的距离越近,电压幅值就越小。将音叉的脚以不同的方向接近样品时,也会得到不同的结果,当音叉的脚以45°的角度逼近样品时,电压的变化趋势最为明显。这就说明通过测量电压幅值大小是可以表示音叉与样品之间的距离的,而且接触面积越小,效果越明显。这也验证了早期的文献中报道的结果,1988年, P. Gunther等人探讨了使用石英音叉作为传感器的可能性,将音叉的一个角作为针尖逼近样品表面,音叉的幅值和频率会随着逼近距离的变化而变化,证明了使用石英晶体谐振器作为传感器,是一个很有希望的方向。

768K2

随着研究的深入,我们认识到对于音叉的使用,也可分为两种不同的测量模式:远场模式和近场模式,分为这两种模式是因为随着距离的变化,针尖和样品之间的作用力也发生了变化,对于小于200μm,而大于10nm的范围空气阻尼起到了主要的作用,但这只是一个宏观的效应,在这种情况下,要想提高水平分辨率受到了很大的限制,所以要提高分辨率,就要降低音叉的振幅,一般要小于20nm,甚至达到了0.5nm。但是振幅这样小的时候,已经远小于了空气分子的平均自由程(约01μm),所以空气阻尼就不是最重要的影响因素,而是静电力、范德华力、原子间斥力等作用力起到了主要的作用。
  在远场模式中,当晶振振动时,石英晶振与表面之间的小体积气体被周期性地压入和挤出,对晶振产生流体阻力。当晶振前端与样品表面之间的间距小于200um且大于50nm时,原子间的相互作用力如范德华力、表面张力、摩擦力等非常小,可以忽略,这时主要是由于间隙中气体的流体阻力改变了晶振的振动特性。
  下面从晶振的机械振动来分析32.768K无源晶振和样品表面间距离d与晶振振动特性(幅值、相位、频率)的关系。根据晶振逼近样品表面的运动特性可建立如图28所示的等效物理模型,这是一个典型的二阶系统,它反映了空气阻尼的粘性、摩擦力和晶振本身的质量对于样品和针尖作用的影响,模型虽然比较简单,忽略了音叉的不同方向所造成的影响,但是还是描述了系统在这种情况下的主要作用因素,所以可以从其中得出系统运动的大致规律,这也是目前对于远场模型的作用机理的基本解释。
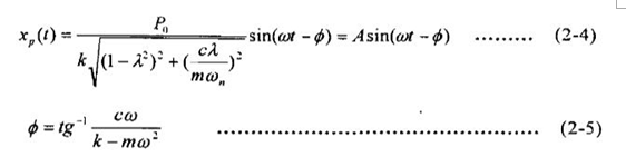
由牛顿定律可得到运动方程:

768K3

其特解为:

768K4

式中:m一晶振的质量,k一弹性系数,P0一压电效应施加的驱动力。

c一总阻尼,包括32.768K石英晶体的内部损失c1和流体阻尼C2:,C=C1+C2,ω一驱动力的角频率,ωn—无阻尼时的晶振固有频率,λ一频率比,解的特点是振动频率为阻尼固有频率,振幅按指数规律衰减咸,在充分长时间后,瞬态响应消失。稳态响应仅由特解Xp(t)决定。
  如图29,由牛顿内摩擦定律可建立流体阻尼c,与晶振和样品表面间距d的近似关系:

768K5

其中,F为内摩擦力;Vx是晶振在X方向上的速度分量;d为晶振前端与样品表面的垂直距离:μ为流体粘度;S为晶振前端与流体的接触面积。
  由式(2-6)和式(2-7)可知,C2与间距d成反比,A随c,的增大而减小,因此A随d的减小而减小,相位φ随d的变化而变化。从特解xn(1)的表达式中可以看出角频率山与d无关,即晶振振动的频率f近似与d无关。根据石英晶振的压电效应,晶振机械振动幅值和相位的变化引起交变电场电压幅值和相位的相应变化,因此检测SMD晶振振幅和相位的变化就可以得到晶振与样品表面间距离的变化。
  音叉测量的近场模式是最近才发展起来的模型,当在远场模式下测量时在试验中发现精度受到了限制,精度很难达到微米级以下,这说明远场模式实际上是一种宏观效应,在这里,空气的阻尼作用好像光的波长一样,对于精度的提高形成了一种瓶颈,为了突破这个瓶颈,就必须跨越空气阻尼的作用,寻找其他的作用力来进行测量。我们知道,音叉受到空气阻尼的作用,主要是由于音叉在空气中的振动引起的,为了减小空气阻尼的作用,必须要减小插件石英晶振的振幅,一般要小到几十个纳米。但是振幅这样小的时候,空气阻尼就不是最重要的影响因素,而是静电力、范德华力、原子间斥力等作用力起到了主要的作用,这其实又回到了原子力显微镜的作用范围,而且这种模式与原子力显微镜的AC模式也比较接近。

   在这种模式下,振幅的测量变得比较困难,加在晶振上的电压为1-10mV,振动幅值小于10nm,这样信号的信噪比将会很高,另外由于晶振的振幅的响应速度比较低,降低了仪器的带宽,也使得图像的质量下降,所以一般都不测量幅值,而是测量晶振的频率和相位的变化。